柱塞泵是靠柱塞在缸体中做往复运动造成密封容积的变化来实现吸油和压油的液压泵。
轴向--变量泵
径向--变量泵
轴向柱塞泵


径向柱塞泵


轴向柱塞泵是将多个柱塞轴向配置在一个共同的缸体的圆周上,并使柱塞中心线和缸体的中心线平行的一种泵。
轴向柱塞泵有直轴式(斜盘式)和斜轴式(摆缸式)。
此为斜盘式轴向柱塞泵。
它主要由缸体、配油盘、柱塞和斜盘组成的。
斜盘与缸体轴线倾斜一定的角度,角度可调。
传动轴使得缸体转动,吸油窗口处的柱塞向右移动,容积变大;压油窗口处的柱塞向左移动,容积变小;缸体转动一圈,每个柱塞各完成一次吸油和压油。
若改变斜盘的倾角,改变了排量,它是变量泵。
结构紧凑、径向尺寸小、容积效率高,最大压力40MPa;
但是轴向尺寸大、轴向力也较大,结构复杂。


流量脉动,当柱塞数较多并为奇数时脉动较小,故柱塞泵的柱塞数一般为奇数,常取7或9。

径向柱塞泵是柱塞径向排列安装在缸体中,缸体旋转,将会带动柱塞一起旋转,柱塞靠离心力的作用抵紧定子内壁;
当缸体顺时针转动时,因转子与定子偏心,存在偏心距,柱塞转到上部向外伸出,底部容积变大,形成局部真空,从配油盘的吸油窗口吸油;
柱塞转到下部向内缩回,底部容积变小,容积内的油液从配油盘的压油窗口压油;
当转子回转一周时,每个柱塞底部的密封容积完成一次吸油和压油,若转子不断旋转,即不断地吸油和压油。
移动定子以改变偏心距的大小,便可改变柱塞的行程,从而改变排量;
改变偏心距的方向,则可改变吸、压油的方向。
径向柱塞泵可以做成单向或双向变量泵 。




液压马达是输出旋转运动的执行元件。
液压马达按其结构类型来分可分为齿轮式、叶片式和柱塞式;也可按额定转速来分,可分为高速液压马达和低速液压马达。
此为叶片式液压马达。
当压力油从进油口进入,压力油将作用于叶片之上,容积腔的容积变化,作用于叶片上的压力也不同,于是产生压力差使转子产生顺时针的转矩,将压力能变为机械能。
当输油方向发生转变时,液压马达就反转。
当压力油从进油口进入液压马达,液体压力推动叶片顺时针旋转。
液压马达一般要求正反转。
叶片式马达一般用于转速高、转矩小和动作灵敏的场合。
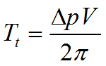
不计损失的话,液压泵输出功率全部转化为液压马达输出功率。
![]()
液压马达理论转矩:
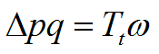
液压马达实际输出转矩小于理论转矩,实际转矩为:

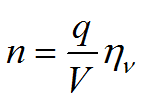
转速:

柱塞泵有几种?
轴向柱塞泵是如何工作的?
径向柱塞泵是如何工作的?
液压马达是如何工作的?

