液压泵概述

单柱柱塞泵
容积变化
吸油腔
压油腔
动力元件
配流装置
1、当偏心轮逆时针方向旋转时,将推动柱塞沿水平方向运动。
2、当柱塞向左滑动时,柱塞与泵体包围的封闭空间被压缩,封闭空间内的油液被压入油管,打开上部的单向阀,为液压系统供油;下部的单向阀则被关闭。
3、当柱塞向右滑动时,柱塞与泵体形成的封闭空间将变大,封闭空间产生局部真空。同时,在大气压力的作用下,下部的单向阀打开,油箱中油液被压入封闭空间。而上部的单向阀处于关闭状态,是因为液压系统的压力大于或等于大气压的。
4、偏心轮不断旋转,柱塞不断往复,封闭空间不断变化,完成了吸油和压油;封闭空间被称为变化的容积,因此,液压泵也被称为容积泵。
液压泵正常工作具备的三个基本条件
具有周期性变化的容积
具有配流装置
排出液体的压力大于等于大气压
液压泵的主要性能参数
压力
工作压力p、额定压力pn(连续运转的最高压力)。
排量和流量
排量V:液压泵每转一周,由其密封容腔几何尺寸变化计算而得的排出液体的体积,单位(/r)或 (ml/r) 。
理论流量qt:不考虑液压泵流量泄漏,单位时间内排出的液体体积等于排量和转速的乘积。
qt:液压泵理论排量(/s);
V:液压泵的排量(/r);
n:主轴转速(r/s);

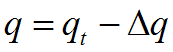
实际流量q:![]()
额定流量qn:液压泵在正常工作条件下,按试验标准规定必须保证的流量。
泵的能量转换关系、功率与效率
能量损失
容积损失:由于泵和马达本身的泄漏所引起的能量损失,即流量的损失。
机械损失:由于泵和马达机械副之间的摩擦所引起的能量损失,即转矩的损失。
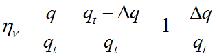
容积效率
: 液压泵实际流量
![]()

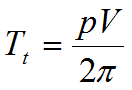
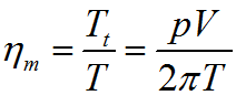
机械效率
:
液压泵实际输入转矩T大于理论需要的转矩Tt。


总效率: 输出
,输入![]()

液压泵的分类
按压力(低压、中压、中高压、高压、超高压)
按排量(定量、变量)
按流动方向(单向、双向)
按结构(齿轮泵、叶片泵、柱塞泵)
齿轮泵
齿轮泵是液压系统中广泛采用的一种液压泵,它一般做成定量泵,按结构不同,齿轮泵分为外啮合齿轮泵和内啮合齿轮泵,而以外啮合齿轮泵用于最广。



外啮合齿轮泵(渐开线)
内啮合齿轮泵(摆线、渐开线)
优点:
结构较简单
体积较小
价格较便宜
对油的清洁度要求不严
缺点:
泵轴受不平衡力
磨损严重
泄漏较大
外啮合齿轮泵的结构特点

此为外啮合齿轮泵。
它由装于泵体内的一对齿数相同齿轮及两侧的端盖所组成,泵体、端盖和各个齿槽形成了许多封闭容积腔。
当上部齿轮逆时针旋转时,右侧部分的封闭容积逐渐变大,形成真空,完成吸油过程。
吸入的油液充满齿槽,跟随齿轮的旋转被带入左侧的压油区,齿轮的轮齿不断进入啮合,导致左侧的封闭容积逐渐变小,油液受到挤压,被挤出封闭容积进入压油口,也就进入了液压系统中。
在齿轮泵的工作过程中,只要两个齿轮的旋转方向不变,其吸油腔和压油腔的位置是不变的,齿轮啮合区分隔了高压的压油腔和低压的吸油腔,因此,齿轮泵中不需要设置配流装置。
困油
齿轮啮合的重合度大于1,齿轮运动平稳
一小段时间的时候,出现封闭空间
封闭空间减少,油液挤压,压力上升;
封闭空间变大,造成局部真空,产生气穴
齿轮泵产生噪声
*齿轮泵的两侧端盖上开设卸荷槽,卸荷槽不对称,偏向吸油区
径向力不平衡
吸油区压力小
压油区压力大
造成两侧径向压力不平衡
* 减小压油口或增大吸油口
适当增大齿轮齿顶与泵体之间的径向间隙
泄漏
齿轮端面和端盖之间(75%~80%)
齿轮外圆与泵体内孔之间
两个齿轮的啮合处
*齿轮端面间隙自动补偿,采用浮动轴套
思考题
液压泵属于什么元件?它可以实现什么能量的转换?
液压泵按结构分为几种?
外啮合齿轮泵在结构上有何特点?

