流体流动状态
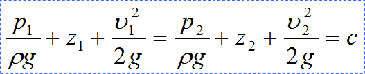
伯努利方程
沿程阻力损失
局部阻力损失
雷诺实验

开启调节控制阀8,保持水管出水流量较小,此时红墨线为一条直线,水平管路中的流体流动是比较缓慢的,该状态被称为层流。

开启调节控制阀8,水管出水流量加大,此时红墨线为一条波浪线,水平管路中的流体流动是加快了,出现横向波动,该状态被称为过渡过程。

开启调节控制阀8,水管出水流量最大,此时红墨线与自来水混合,水平管路中的流体流速很高,该状态被称为湍流或者称为紊流。



理想液体定常流动时,液体的任一通流截面上的总比能(单位重量液体的总能量)保持为定值。
![]()

α:动能修正系数,为截面上单位时间内流过液体所具有的实际动能,与按截面上平均流速计算的动能之比(层流时α=2,紊流时α=1)

薄壁小孔
细长孔



通过薄壁小孔的流量与液体粘度无关,因而流量受液体温度影响较小.但流量与孔口前后压差的关系是非线性的。


液体流经细长小孔的流量将随液体温度的变化而变化。但细长小孔的流量与孔前后的压差关系是线性的。
统一的经过小孔的流量公式

式中:
A:孔的通流截面积
Δp:孔前后压差
m:由孔结构形式决定的指数,0.5≤m≤1
k:由孔口形式有关的系数
当孔为薄壁小孔时,m=0.5

当孔为细长小孔时,m=1,

泄漏:有内泄漏和外泄漏两种
泄漏主要是由压力差与间隙造成的
油液在间隙中的流动状态一般是层流
液压系统是由元件、管接头和管道组成的,每一部分由许多零件组成,这些零件之间有配合间隙,由此带来了内泄漏;
当流体流经这些间隙时就会发生从压力高处经过间隙流到系统中压力低处或直接进入大气的现象称为外泄漏。
平行平板间隙流动
当长平板相对于短平板的运动方向和压差流动方向相同时,总流量为两种流量之和;当长平板相对于短平板的运动方向与压差流动方向相反时,总流量为两种流量之差。
h越小,缝隙越小,泄漏越小;但是缝隙小,摩擦阻力损失增大,因此,缝隙需要设置一个最佳值。

圆柱环形间隙流动


气穴(空穴): 在流动液体中,由于某点处的压力低于空气分离压而产生气泡的现象。
危害:使得液压装置产生噪声和振动
金属表面受到腐蚀
油液的空气分离压:大气压下,油液一般溶解5%-6%体积的大气,当压力达到低于大气压的某一值时,过饱和的空气将从油液中分离出来。这一压力值称为该温度下的空气分离压。
节流口处的空穴现象
根据连续性方程和伯努利方程,经过节流口时,压力降低,当压力低于空气分离压,形成气泡。
气泡随油液流到压力较高位置时会破灭,产生液压冲击、噪音及振动。
附着在金属表面的气泡破灭时,会产生局部高温高压,使金属剥落,表面粗糙,这种现象称为气蚀。
液压泵吸油管直径不可过小。
减小空穴现象的措施
防止液压系统的压力过度降低
减小流经节流小孔的前后压力差。
正确设计液压泵结构参数。
提高零件抗气蚀能力,增加零件强度,采用抗腐蚀能力强的金属材料,提高零件表面加工质量。
液压冲击:液压系统在突然启动、停机、变速或换向时,阀口突然关闭或动作突然停止,由于流动液体和运动部件惯性的作用,使系统内瞬时形成很高的峰值压力,这种现象就称之为液压冲击
危害:
导致液压元件损坏
导致泄漏
导致液压系统的稳定性下降
改善措施:
使直接冲击变为间接冲击:降低阀口关闭速度、减小冲击波传递距离;
限制管路中油液的流速;
用橡胶软管或在冲击源处设置储能器,吸收冲击能量;
容易出现液压冲击的地方安装限制压力升高的安全阀。
伯努利方程的物理意义
实际流体流动中的包含有哪些能量损失
孔口液流的特性有哪些?
空穴和液压冲击如何发生的?对液压系统有何影响?

