1.一个完整的机器组成


2.液压传动与气压传动概念
液压传动--以液体为工作介质的流体传动。是以液体为工作介质,通过驱动装置将原动机的机械能转换为液压的压力能,然后通过管道、液压控制及调节装置等,借助执行装置,将液体的压力能转换为机械能,驱动负载实现直线或回转运动。
气压传动--以气体为工作介质的流体传动。气压传动以压缩气体为工作介质,靠气体的压力传递动力或信息的流体传动。传递动力的系统是将压缩气体经由管道和控制阀输送给气动执行元件,把压缩气体的压力能转换为机械能而作功;传递信息的系统是利用气动逻辑元件或射流元件以实现逻辑运算等功能,亦称气动控制系统。
3.液压与气压传动的应用领域


4.液压与气压传动的发展趋势

典型实例
千斤顶(小猴子)
组成:杠杆、小活塞、大活塞、油管、单向阀、油箱
帕斯卡定律(加在密闭液体上的压力,能大小不变地在液体内部向各个方向传递)

4.三大关系
力比关系
帕斯卡定律“在密闭容器内,施加于静止液体上的压力将以等值同时传到液体各点”


重要基本概念一:
“工作压力取决于负载”,而与流入的液体多少无关。
运动关系

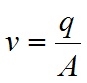
流量q:单位时间内流过某一截面积为A的流体体积
![]()

若已知进入缸体的流量q,则活塞运动速度为:![]()
重要基本概念二:
“活塞的运动速度v取决于进入液压(气压)缸(马达)的流量q,而与液体压力p大小无关”
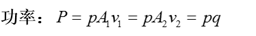
功率关系


压力p和流量q是流体传动中最基本、最重要的两个参数,它们相当于机械传动中的力和速度,它们的乘积即为功率。
液压与气压传动是以流体的压力能来传递动力的。
系统组成
工作台液压系统


气动系统图


思考题
举例说明液压与气压系统的应用领域
液压与气压系统的研究对象是什么?
液压与气压系统的由哪些元件组成?

