小挠度薄板弯曲微分方程
-
1 课件
-
2 预备基础理论知识
上一节
下一节
对于一般的弹性体受荷载而变形的问题,一般先列出弹性力学的三个基本方程,即平衡方程、几何方程和物理方程(或本构方程),再列出位移边界条件和应力边界条件,最后进行求解,这样的思路对于梁理论同样适用.
弹性力学基本方程
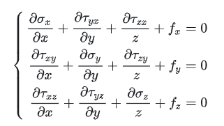
弹性力学中,一般变形问题可由三个基本方程——平衡方程、几何方程、本构方程,与两个边界条件——位移边界条件、应力边界条件所描述. 平衡方程描述应力与体力的关系;几何方程描述应变与位移的关系;物理方程描述应力与应变的关系;
应力的定义与平衡方程
如图1所示为一点的应力状态,为使微元体保持平衡,应满足下列等式:


根据应力互等原理,独立的应力分量为6个:

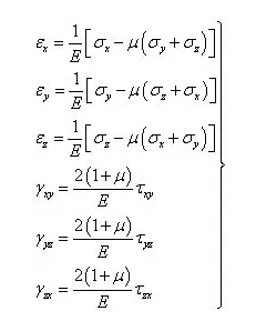
应变的定义与几何方程

物理方程(或本构方程)


