目录

  • 绪论课(大学物理B下 )
    • ● 绪论
    • ● 课程情况与温馨提示
  • 第七章 静电场
    • ● §7-1 电荷  库仑定律
    • ● §7-2 电场  电场强度
    • ● §7-3 高斯定理
    • ● §7-4 静电场的环路定理  电势
    • ● §7-5 等势面 电场与电势梯度的关系
    • ● 第七章  习题集I
    • ● §7-6 静电场中的导体
    • ● §7-7 电容器的电容
    • ● §7-8 静电场中的电介质
    • ● §7-9 有电介质时的高斯定理  电位移
    • ● §7-10 静电场的能量
    • ● 第七章 习题集II
  • 第八章 恒定电流的磁场
    • ● § 8-1 恒定电流
    • ● § 8-2 磁感应强度
    • ● § 8-3 毕奥-萨伐尔定律
    • ● § 8-4 安培环路定理
    • ● 第八章 习题集I
    • ● § 8-5 带电粒子在磁场中所受作用及运动
    • ● § 8-6 磁场对载流导线的作用
    • ● 拓展阅读:电流单位“安培”的新定义
    • ● § 8-7 磁场中的磁介质
    • ● §8-8 有磁介质时的安培环路定理  磁场强度
    • ● §8-9 铁磁质
    • ● 第八章 习题集II
  • 第九章 电磁感应
    • ● § 9-1 电磁感应定律
    • ● § 9-2 动生电动势
    • ● § 9-3 感生电动势
    • ● § 9-4 自感和互感
    • ● § 9-5 磁场的能量
    • ● § 9-6 位移电流
    • ● § 9-7 麦克斯韦方程组
    • ● 第九章 习题集
  • 第十章 机械振动(季云兰)
    • ● §10-1 简谐振动
    • ● * 共振现象与应用
    • ● §10-5 同频率简谐振动的合成
      • ● * “拍” 频现象
      • ● *李萨如图
    • ● 章节测验(振动)
    • ● 答疑解惑
  • 第十一章 机械波(郑任菲)
    • ● §11-1 机械波的产生和传播
    • ● §11-2 平面简谐波的波函数
    • ● §11-4 波的能量  波的强度
    • ● *§11-5 声波  超声波  次声波
    • ● §11-7 惠更斯原理  波的衍射  反射和折射
    • ● §11-8 波的叠加原理  波的干涉  驻波
      • ● 驻波  能量
      • ● *波的干涉与衍射现象
    • ● * §11-9 多普勒效应  冲击波
    • ● 章节测验(机械波)
    • ● 虚拟仿真实验:波的干涉
  • 第十二章 波动光学
    • ● § 12-1 干涉波 相干波
    • ● § 12-2 双缝干涉
    • ● § 12-3 光程 光程差
    • ● § 12-4 薄膜干涉-等倾干涉
      • ● *基于AI大模型设计等倾干涉衍射实验
    • ● § 12-5 薄膜干涉-等厚条纹
      • ● * 基于AI大模型设计牛顿环演示实验
    • ● 拓展阅读---薄膜干涉的应用
    • ● § 12-6 迈克耳孙干涉仪
    • ● 习题集--(光的干涉)
    • ● § 12-7 惠更斯-菲涅耳原理
    • ● § 12-8 单缝的夫琅禾费衍射
    • ● § 12-9 圆孔夫琅禾费衍射
    • ● § 12-10 光栅衍射
    • ● § 12-11 X射线的衍射
    • ● 习题集二(光的衍射)
    • ● § 12-12 自然光和偏振光
    • ● § 12-13 起偏和检偏
    • ● § 12-14 反射光和折射光的偏振
    • ● § 12-15 光的双折射
    • ● §12-16 波片 偏振光的干涉 人为双折射
    • ● 习题集三(光的偏振)
    • ● 课后作业与解答
  • 第十三章 量子物理
    • ● §13-1 热辐射 普朗克的能量子假说
      • ● 物理学晴朗天际的“两朵乌云”
    • ● §13-2 爱因斯坦的光子理论
    • ● §13-3  康普顿效应
    • ● §13-4 氢原子光谱  玻尔的氢原子理论
    • ● §13-5 物质波假设及其实验验证
    • ● §13-6 不确定关系
    • ● §13-7 波函数及其统计诠释  薛定谔方程
    • ● §13-8 一维势垒 隧道效应
      • ● 拓展阅读:宏观量子遂穿效应
    • ● 一维势阱
    • ● 一维谐振子
    • ● 习题集
    • ● *宏观的量子效应:2025年诺贝尔物理学奖
  • 附录1:演示实验(电磁学、光学)
    • ● 电学演示实验
    • ● 磁学演示实验
    • ● 光学演示实验
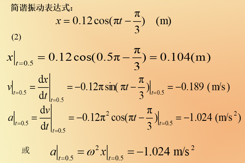
§10-1 简谐振动

10-1 简谐振动




演示动画:










重要例题: