After-tax Replacement Analysis 税后更新分析
上一节
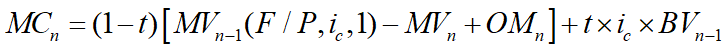
After-tax Marginal Cost of year n
The Income tax will be included.


t — Income tax rate;
dn — Amount of the asset depreciation of year n;
BVn — Book value of the asset at the end of year n

![]()
After-tax EUAC



After-tax Economic Life
Economic life of after-tax replacement normally will be same to that of before-tax replacement.
When the income tax rate is too high, the economic life of after-tax replacement may increase one year.
After-tax Replacement Analysis
Income tax normally will affect the results of replacement analysis
After-tax Investment Value of Defender: The MV and the possible tax savings due to loss on disposal.
