目录

  • 1 Introduction to Basics 绪论
    • 1.1 Engineering Economics Decisions 基本概念
    • 1.2 Course Framework 课程内容
  • 2 Cost & Revenue 成本与收益
    • 2.1 Cost Concepts 成本的概念
    • 2.2 Life Cycle Cost 全生命期成本
      • 2.2.1 Capital Investment 建设总投资
      • 2.2.2 Total Cost & Expense 全成本费用
      • 2.2.3 Asset Depreciation & Amortization 资产折旧与摊销
    • 2.3 Revenue & Profit & Tax 收益、利润与税金
  • 3 Time Value of Money 资金的时间价值
    • 3.1 Basic Concepts 资金时间价值的概念
    • 3.2 Interest Rate 利率
    • 3.3 Project Cash Flow 项目现金流量
    • 3.4 Economic Equivalence and Calculation 资金等值计算
  • 4 Economic Appraisal Indexes 方案经济评价指标
    • 4.1 NPW/NFW/AEW 净现值类指标
    • 4.2 Rate of Return 收益率指标
    • 4.3 Payback Period 投资回收期
    • 4.4 Investment Types 投资类型
  • 5 Economic Appraisal of Multiple Alternatives 多方案经济比选
    • 5.1 Multiple Alternatives 方案的关系类型
    • 5.2 Comparison of MEA 互斥方案的比选
    • 5.3 Capital Budgeting 资本预算方法
  • 6 Financial Evaluation of Projects 项目财务评价
    • 6.1 Introduction 财务评价的主要内容
    • 6.2 Financial Statement 财务报表及其编制
    • 6.3 Financial Evaluation before Financing 融资前财务评价
    • 6.4 Financial Analysis after Financing 融资后财务评价
  • 7 National Economic Evaluation项目国民经济评价
    • 7.1 Benefit-Cost Ratio Analysis费用效益分析
    • 7.2 Economic Benefits & Economic Costs经济效益和经济费用
    • 7.3 National Economic Evaluation Method国民经济评价方法
  • 8 Risk and Uncertainty Analysis项目不确定性与风险评价
    • 8.1 Risk and Uncertainty不确定性与风险的概念
    • 8.2 Breakeven Analysis 盈亏平衡分析
    • 8.3 Sensitivity Analysis 敏感性分析
    • 8.4 Probabilistic Analysis 概率分析
    • 8.5 Decision Tree 决策树方法
  • 9 Asset Replacement 设备更新分析
    • 9.1 Economic Life 设备经济寿命
    • 9.2 Equipment Selection Decision 设备的选型比较
    • 9.3 Real Time Replacement Decision 即时更新决策
    • 9.4 Deferred Time Replacement Decision 延时更新决策
    • 9.5 After-tax Replacement Analysis 税后更新分析
Probabilistic Analysis 概率分析

Probabilistic Analysis

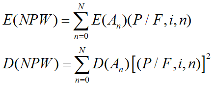
Probabilistic Analysis tries to describe the probability distribution of economic indexes when the factor follows a random distribution.


Probability Tree for Discrete Random Variables

Describe the probabilities of  each cash flow.

Calculate the expectation and variation of NPW.


Continuous Random Variables

All cash flows are assumed to be identically distributed and statistically independent.

NPW is a linear combination of all independent cash flows.

If the variables are dependent, the expectation will not be affected, but the variance should consider the degree of dependence.