Economic Equivalence
The values of goods/services at different time points are equivalent due to the time value of money.
Comparison of alternatives on an equivalent basis.
Notations in Equivalence Calculation
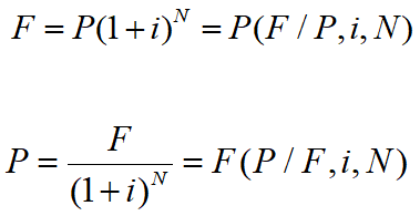
P: present worth at time zero
F: future worth at a future time point
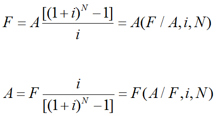
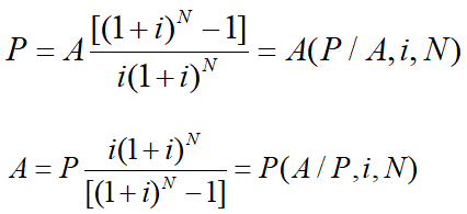
A: an end-of-period payment in a uniform series
i: effective interest rate per interest period
N: number of interest periods
Relating P and F of Single Cash Flow

Relating A and F of Uniform Series Cash Flow

Relating A and P of Uniform Series Cash Flow

Linear Gradient Cash Flow


G: an end-of-period payment in a gradient series
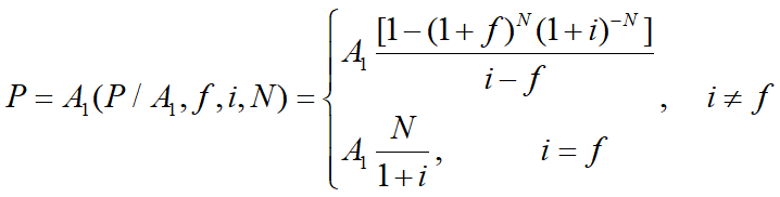
Geometric Gradient Cash Flow


f: percentage of payment changes in a geometric series
Special Cases
Varied Interest Rates
Transform cash flows with various interests to P.
Deferred Annuities
The cash flows are deferred to some later periods.
Compounding More Often than Once per Year
Calculating the effective interest rate.
Calculating the actual compounding periods.
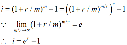
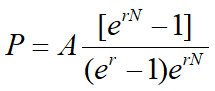
Continuous Compounding
Calculate the Effective Interest Rate

Discrete Cash Flows
Single
Uniform Series

Continuous Cash Flows

