Payback Period 投资回收期
上一节
下一节
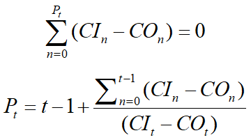
Payback Period (Pt, 静态投资回收期)
The time it takes to pay back the investment, i.e., the number of years required for CIs to be just equal to COs.

t — Year at the end of which the cumulative NCs is positive.
Decision Rule
If Pt ≤ N, the project is economically justified.
If Pt > N, the project is not accepted.
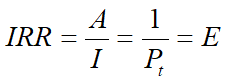
Simple Rate of Return(简单收益率/投资效果系数)
Simple Rate of Return is the inverse of Payback Period

If a project is perpetual or its service life is extremely long with infinite uniform cash flows,
Simple Rate of Return can be used to roughly represent the IRR of a project.

Discounted Payback Period (Pd, 动态投资回收期)
The time value of money is considered.


Decision Rule
If Pd ≤ N, the project is economically justified.
If Pd > N, the project is not accepted.
