Net Present Worth (NPW, 净现值)
The present worth of all cash inflows and outflows

NCn — Net cash inflow at the end of period n, NCn = CIn – COn;
CIn — Cash inflow at the end of period n;
CIn — Cash outflow at the end of period n;
ic — MARR of the project;
N — Periods of the project.
Decision Rule of NPW
If NPW ≥ 0, the project is economically justified.
If NPW < 0, the project is not accepted.
Net Present Worth Rate (NPWR, 净现值率)
It embodies the impact of investment scales.

I — Initial investment of the project.
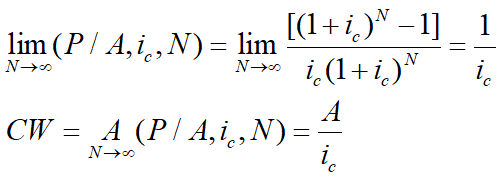
Capitalized Worth (CW)
If a project is perpetual or its service life is extremely long with infinite uniform cash flows, the present worth of the uniform cash flows is capitalized as:

Decision Rule
If CW ≥ 0, the project is economically justified.
If CW < 0, the project is not accepted.
Net Future Worth (NFW , 净将来值)
The future worth of all cash inflows and outflows.

Decision Rule
If NFW ≥ 0, the project is economically justified.
If NFW < 0, the project is not accepted.
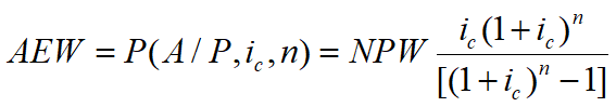
Annual Equivalent Worth (AEW, 净年值)
Measure the worth of a project by determining equal payment on an annual basis.

Decision Rule
If AEW ≥ 0, the project is economically justified.
If AEW < 0, the project is not accepted.
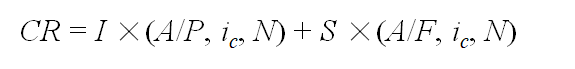
Capital Recovery Cost (CR)
The equivalent uniform annual cost of the capital investment and salvage value, if any.

I — Initial investment of the project;
S — salvage value of the project.

