分块矩阵
-
1 知识点
-
2 讲义
-
3 学习目标
-
4 练习
-
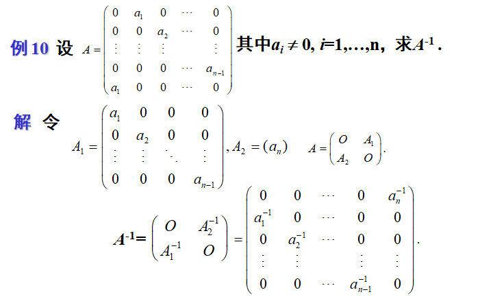
5 例题讲解
上一节
下一节



















