目录

  • 1 多项式
    • 1.1 集合与映射
      • 1.1.1 集合
      • 1.1.2 映射
    • 1.2 等价关系与偏序关系
    • 1.3 整数
    • 1.4 基本代数系统
    • 1.5 一元多项式环
    • 1.6 带余除法与整除关系
    • 1.7 最大公因式
    • 1.8 唯一因式分解定理
    • 1.9 重因式
    • 1.10 复系数、实系数与有理系数多项式
    • 1.11 多项式的费马大定理
    • 1.12 章节测试
  • 2 初等变换与线性方程组和矩阵等价
    • 2.1 消元法解线性方程组
    • 2.2 矩阵与矩阵等价
    • 2.3 高斯消元法与线性方程组
    • 2.4 消元法的中国贡献
    • 2.5 *线性方程组的几何解释视频
  • 3 行列式
    • 3.1 二阶和三阶行列式
    • 3.2 n阶排列
    • 3.3 n阶行列式的定义
    • 3.4 行列式的性质
    • 3.5 行列式按行(列)展开
    • 3.6 行列式的计算
    • 3.7 克拉默(Cramer)法则
    • 3.8 *行列式性质视频
    • 3.9 *行列式公式和辅因子视频
    • 3.10 章节测试
  • 4 矩阵与矩阵代数
    • 4.1 矩阵代数
    • 4.2 可逆矩阵
    • 4.3 分块矩阵
    • 4.4 初等变换与初等矩阵
    • 4.5 向量的线性相关性与向量组的秩
    • 4.6 矩阵的秩
    • 4.7 *矩阵乘法和逆矩阵视频
    • 4.8 *克莱姆法则、逆矩阵视频
    • 4.9 *分块矩阵的初等变换及应用举例
    • 4.10 章节测试
  • 5 线性方程组的一般理论
    • 5.1 线性方程组有解判断定理
    • 5.2 线性方程组解的结构
    • 5.3 *解Ax=0视频
    • 5.4 *解Ax=b视频
    • 5.5 章节测试
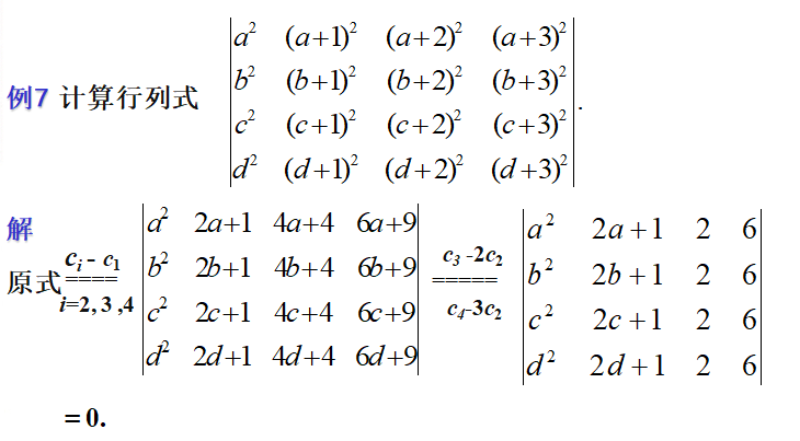
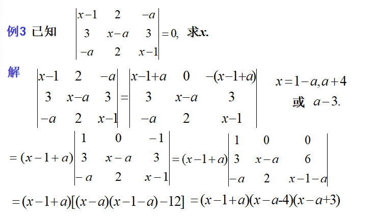
行列式的性质
  • 1 知识点
  • 2 例题讲解