训练3(半导体及晶体管放大器解题)
-
1 知识点
-
2 方法步骤
-
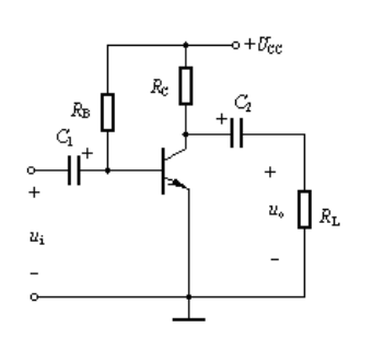
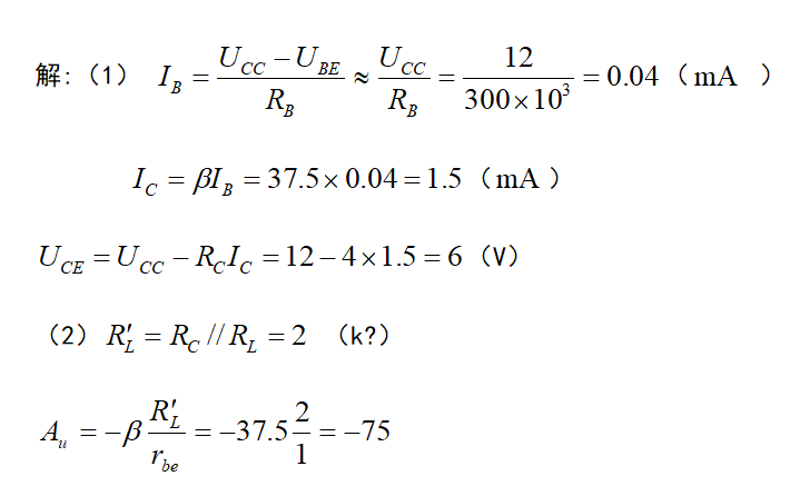
3 例题1
-
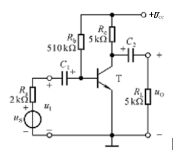
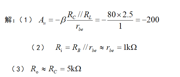
4 例题2
-
5 例题3
-
6 例题4
-
7 例题5
-
8 测试卷3
上一节
下一节
学习要点:
(1)了解半导体及半导体二极管、三极管的基本知识及场效应管类型;
(2)掌握二极管结构、类型、参数特性及二极管的选用与检测,掌握三极管的结构、分类、参数特性及选用与检测;
(3)了解放大器的基本概念及三种组态,负反馈放大器的基本知识:
(4)掌握单管放大器的工作原理及各元件的作用,放大器静态工作点的分析计算及测量方法,放大电路的静态分析及调试方法;掌握负反馈放大器的分类及判断。












