课时7
上一节
下一节

一、慕课视频(来自西安电子科技大学郭宝龙教授《信号与系统》慕课)
1.卷积积分的代数性质
2.奇异函数的卷积特性
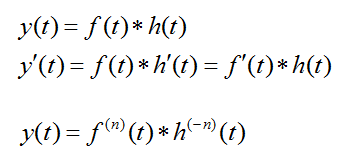
3.卷积的微积分性质
4.卷积的时移特性
5.常用的卷积重要公式
6.卷积的多种求解方法
二、重点概念
卷积的交换律:

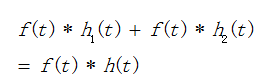
卷积的分配率:

卷积的结合律:

三、知识要点(卷积积分的性质)
一)掌握卷积的代数运算(例1)
系统并联运算




系统级联运算



二)掌握与冲激函数的卷积
f(t)*δ(t)=δ(t)*f(t) = f(t)
f(t)*δ(t –t0) = f(t- t0)
f(t-t1)*δ(t –t0)= f(t –t1- t0)
若f1(t)* f2(t) = f(t)
f1(t-t1)* f2(t-t2)= f(t – t1-t2)
三)掌握微分积分的性质(例2)

四)求解卷积的方法可归纳为:
(1)利用定义式,直接进行积分。对于容易求积分的函数比较有效。
(2)图解法。
(3)利用性质。比较灵活。
三者常常结合起来使用
四、上课PPT
五、课后作业
2.17 (1)(2)小题
在学习通平台提交

