课时13
上一节
下一节

一、慕课视频(来自西安电子科技大学郭宝龙教授《信号与系统》慕课)
二、重点概念
傅里叶变换与反变换公式
三、知识要点
一)傅里叶变换与反变换的推导


二)常用函数的傅里叶变换
(1)矩形脉冲

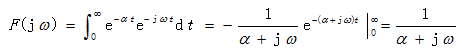
(2)单边指数函数

(3)双边指数函数

(4)冲激函数


(5)直流信号
1←→2pd(w)
(6)符号函数

(7)阶跃函数


