课时11
上一节
下一节

一、慕课视频(来自西安电子科技大学郭宝龙教授《信号与系统》慕课)
二、重点概念
1.周期信号的分解
2.傅里叶级数的两种形式
三、知识要点
一)周期信号的分解(傅里叶级数的三角函数形式)

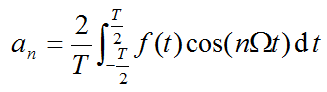
系数an , bn称为傅里叶系数
,
二)奇、偶函数的傅里叶级数(包括奇谐函数)
1 .f(t)为偶函数时:bn =0,展开为余弦级数。
2 .f(t)为奇函数时:an =0,展开为正弦级数。
3 .f(t)为奇谐函数——f(t) = –f(t±T/2)
其傅里叶级数只含奇次谐波分量,即a0=a2=…=b2=b4=…=0
三)傅里叶级数的指数形式(练习)

系数Fn称为复傅里叶系数

四、上课PPT
五、课后作业
4.7
在学习通平台提交

