课时10
上一节
下一节

一、慕课视频(来自西安电子科技大学郭宝龙教授《信号与系统》慕课)
二、重点概念
1.信号的正交:

则称j 1(t)和j 2(t) 在区间(t1,t2)内正交。
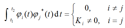
2.正交函数集
三、知识要点
一)掌握信号正交,完备正交函数集
若函数集{j 1(t),j 2(t),…,j n(t)}满足:

则称此函数集为在区间(t1,t2)的正交函数集。
二)掌握信号的正交分解
正交分解的举例
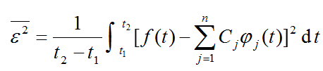
三)Ci的确定
通常令误差的方均值(均方误差ε)最小确定Ci的值。均方误差为
,求得

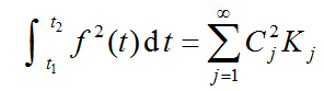
四、帕斯瓦尔方程(能量公式)


