课时3
上一节
下一节

一、慕课视频(来自西安电子科技大学郭宝龙教授《信号与系统》慕课)
1.5阶跃函数
1.6冲激函数
1.7冲激函数的广义函数定义
1.8冲激函数的取样性质
1.9冲激函数的导数
1.10冲激函数的尺度变换
二、重点概念
阶跃函数:奇异函数,函数族的定义
冲激函数:狄拉克定义,函数族定义
冲击偶:
三、知识要点(阶跃函数和冲激函数)
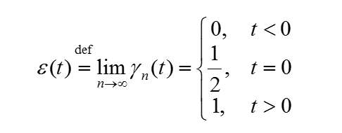
一)阶跃函数的定义
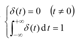
二)单位冲激函数的定义
狄拉克定义
函数族定义:
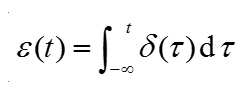
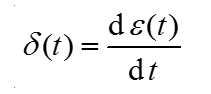
三)阶跃信号、冲激信号和冲击偶三者的关系
,
,

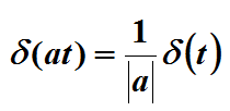
四)冲激函数的性质(包括冲击偶的性质)
取样性: 
奇偶性:
尺度变换:
微积分性质: 
冲击偶:




四、上课PPT
五、课后作业
P34 1.10 全部小题
请在学习通平台提交作业。

