高等数学C

舒兴明

目录

  • 1 绪论
    • 1.1 导言
  • 2 函数
    • 2.1 函数的概念
    • 2.2 初等函数
    • 2.3 经济学中几个常用的函数
    • 2.4 测验
    • 2.5 讨论
  • 3 极限与连续
    • 3.1 数列的极限
    • 3.2 函数的极限
    • 3.3 无穷大量与无穷小量
    • 3.4 极限的运算法则
    • 3.5 极限的计算
    • 3.6 两个重要极限
    • 3.7 无穷小的比较
    • 3.8 函数的连续性
    • 3.9 测验
    • 3.10 讨论
  • 4 导数与微分
    • 4.1 导数的概念
    • 4.2 导数的四则运算法则和高阶导数
    • 4.3 复合函数的导数
    • 4.4 隐函数的导数
    • 4.5 微分的定义
    • 4.6 微分的运算
    • 4.7 测验
    • 4.8 讨论
  • 5 微分中值定理与导数的应用
    • 5.1 微分中值定理
    • 5.2 洛必达法则
    • 5.3 函数单调性和极值
    • 5.4 曲线的凹凸性与拐点及函数的作图
    • 5.5 最大值最小值及其应用
    • 5.6 边际分析与弹性分析
    • 5.7 测验
    • 5.8 讨论
  • 6 不定积分
    • 6.1 不定积分的概念
    • 6.2 不定积分的性质
    • 6.3 第一换元积分法
    • 6.4 第二换元积分法
    • 6.5 分部积分法
    • 6.6 测验
    • 6.7 讨论
  • 7 定积分
    • 7.1 定积分的概念
    • 7.2 定积分的性质
    • 7.3 微积分基本定理
    • 7.4 定积分的换元法
    • 7.5 定积分的分部积分法
    • 7.6 广义积分
    • 7.7 定积分的应用
    • 7.8 测验
    • 7.9 讨论
  • 8 多元函数微积分
    • 8.1 空间解析几何简介
      • 8.1.1 空间直角坐标系
      • 8.1.2 空间点
      • 8.1.3 曲面与方程
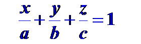
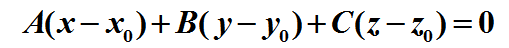
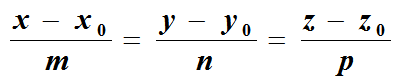
      • 8.1.4 空间平面方程
    • 8.2 多元函数的概念
      • 8.2.1 多元函数的概念
      • 8.2.2 二元函数的几何意义
      • 8.2.3 二元函数的极限
      • 8.2.4 二元函数的连续
    • 8.3 偏导数
      • 8.3.1 偏导数
      • 8.3.2 高阶偏导数
    • 8.4 全微分
      • 8.4.1 全微分
      • 8.4.2 全微分在近似计算中的应用
    • 8.5 二元函数的极值
      • 8.5.1 二元函数的无条件极值
      • 8.5.2 二元函数的最值
      • 8.5.3 拉格朗日乘数法
    • 8.6 二重积分的概念和性质
      • 8.6.1 二重积分的概念
        • 8.6.1.1 二重积分的概念
        • 8.6.1.2 二重积分的几何意义
      • 8.6.2 二重积分的性质
    • 8.7 直角坐标系下二重积分的计算
    • 8.8 二重积分的几何应用
    • 8.9 第八章练习题
  • 9 常微分方程
    • 9.1 微分方程的基本概念
      • 9.1.1 微分方程的概念
      • 9.1.2 简单微分方程的建立
    • 9.2 一阶微分方程
      • 9.2.1 可分离变量的微分方程
      • 9.2.2 一阶线性非齐次微分方程
    • 9.3 一阶微分方程应用举例
      • 9.3.1 一阶微分方程的应用
      • 9.3.2 人口预测模型
      • 9.3.3 逻辑斯蒂(Logistic)方程
      • 9.3.4 放射性元素的衰变
    • 9.4 二阶常系数线性微分方程
      • 9.4.1 二阶常系数线性微分方程通解的结构
      • 9.4.2 二阶常系数齐次线性微分方程的解法
    • 9.5 第九章练习题
  • 10 无穷级数
    • 10.1 数项级数的概念与基本性质
      • 10.1.1 数项级数的性质
      • 10.1.2 数项级数的概念
    • 10.2 数项级数的判别法
      • 10.2.1 正项级数判别法
      • 10.2.2 交错级数判别法
      • 10.2.3 绝对收敛与条件收敛
    • 10.3 幂级数
      • 10.3.1 幂级数的概念
      • 10.3.2 幂级数的性质
      • 10.3.3 函数展开成幂级数
    • 10.4 第十章练习题
空间解析几何简介