目录

  • 1 课程简介
    • 1.1 课程简介
  • 2 实验基础知识
    • 2.1 基础知识视频
    • 2.2 基础知识预习测试
    • 2.3 基础知识讲义
    • 2.4 基础知识思考题
  • 3 测定金属材料的杨氏模量
    • 3.1 预习导读
    • 3.2 实验视频
    • 3.3 预习测试
    • 3.4 思考题
    • 3.5 实验讲义
    • 3.6 PPT课件
    • 3.7 实验报告模板
    • 3.8 课后拓展
  • 4 测定液体的表面张力系数
    • 4.1 预习导读
    • 4.2 实验视频
    • 4.3 预习测试
    • 4.4 思考题
    • 4.5 实验讲义
    • 4.6 PPT课件
    • 4.7 实验报告模板
    • 4.8 课后拓展
  • 5 测定空气的相对压力系数
    • 5.1 预习导读
    • 5.2 实验视频
    • 5.3 预习测试
    • 5.4 思考题
    • 5.5 实验讲义
    • 5.6 PPT课件
    • 5.7 实验报告模板
    • 5.8 课后拓展
  • 6 牛顿环干涉测量平凸透镜的曲率半径
    • 6.1 预习导读
    • 6.2 实验视频
    • 6.3 预习测试
    • 6.4 思考题
    • 6.5 实验讲义
    • 6.6 PPT课件
    • 6.7 实验报告模板
    • 6.8 课后拓展
  • 7 分光计的调整与使用
    • 7.1 预习导读
    • 7.2 实验视频
    • 7.3 预习测试
    • 7.4 思考题
    • 7.5 实验讲义
    • 7.6 PPT课件
    • 7.7 实验报告模板
    • 7.8 课后拓展
  • 8 测定三棱镜折射率实验
    • 8.1 预习导读
    • 8.2 实验视频
    • 8.3 预习测试
    • 8.4 思考题
    • 8.5 实验讲义
    • 8.6 PPT课件
    • 8.7 实验报告模板
    • 8.8 课后拓展
  • 9 流体黏滞系数的测量
    • 9.1 预习导读
    • 9.2 实验视频
    • 9.3 预习测试
    • 9.4 思考题
    • 9.5 实验讲义
    • 9.6 PPT课件
    • 9.7 实验报告模板
    • 9.8 课后拓展
  • 10 用旋光法测定溶液的浓度
    • 10.1 预习导读
    • 10.2 实验视频
    • 10.3 预习测试
    • 10.4 思考题
    • 10.5 实验讲义
    • 10.6 PPT课件
    • 10.7 实验报告模板
    • 10.8 课后拓展
  • 11 示波器的使用
    • 11.1 预习导读
    • 11.2 实验视频
    • 11.3 预习测试
    • 11.4 思考题
    • 11.5 实验讲义
    • 11.6 PPT课件
    • 11.7 实验报告模板
    • 11.8 课后拓展
  • 12 声速的测量
    • 12.1 预习导读
    • 12.2 实验视频
    • 12.3 预习测试
    • 12.4 思考题
    • 12.5 实验讲义
    • 12.6 PPT课件
    • 12.7 实验报告模板
    • 12.8 课后拓展
  • 13 基本仪器操作
    • 13.1 预习导读
    • 13.2 实验视频
    • 13.3 预习测试
    • 13.4 思考题
    • 13.5 实验讲义
    • 13.6 PPT课件
    • 13.7 实验报告模板
    • 13.8 课后拓展
  • 14 磁场描绘
    • 14.1 预习导读
    • 14.2 实验视频
    • 14.3 预习测试
    • 14.4 思考题
    • 14.5 实验讲义
    • 14.6 PPT课件
    • 14.7 实验报告模板
    • 14.8 课后拓展
  • 15 转动惯量实验研究
    • 15.1 预习导读
    • 15.2 实验视频
    • 15.3 预习测试
    • 15.4 思考题
    • 15.5 实验讲义
    • 15.6 PPT课件
    • 15.7 实验报告模板
    • 15.8 课后拓展
  • 16 用电位差计测电动势
    • 16.1 预习导读
    • 16.2 实验视频
    • 16.3 预习测试
    • 16.4 思考题
    • 16.5 实验讲义
    • 16.6 PPT课件
    • 16.7 实验报告模板
    • 16.8 课后拓展
  • 17 压力传感器
    • 17.1 预习导读
    • 17.2 实验视频
    • 17.3 预习测试
    • 17.4 思考题
    • 17.5 实验讲义
    • 17.6 PPT课件
    • 17.7 实验报告模板
    • 17.8 课后拓展
  • 18 热敏电阻温度特性的测量
    • 18.1 预习导读
    • 18.2 实验视频
    • 18.3 预习测试
    • 18.4 思考题
    • 18.5 实验讲义
    • 18.6 PPT课件
    • 18.7 实验报告模板
    • 18.8 课后拓展
  • 19 实验习题库
    • 19.1 实验习题(上)
    • 19.2 实验习题(下)
    • 19.3 参考答案
  • 20 实验基础知识库
    • 20.1 误差测量与不确定度
      • 20.1.1 直接测量与间接测量
      • 20.1.2 等精度测量与不等精度测量
      • 20.1.3 测量误差
      • 20.1.4 测量不确定度的评定与表示
      • 20.1.5 数据处理实例
    • 20.2 有效数字
      • 20.2.1 有效数字的基本概念
      • 20.2.2 有效数字的读数
      • 20.2.3 “0”问题
      • 20.2.4 科学计数法
      • 20.2.5 有效数字的运算规则
    • 20.3 实验数据处理的基本方法
      • 20.3.1 列表法
      • 20.3.2 作图法
      • 20.3.3 图解法
      • 20.3.4 线性拟合
      • 20.3.5 逐差法
  • 21 仪器库
    • 21.1 仪器库
  • 22 课堂
    • 22.1 实验课堂
    • 22.2 课外活动
    • 22.3 学生作品展播
  • 23 省级精品视频公开课申报
    • 23.1 负责人简介
    • 23.2 教学大纲
实验讲义

实验目的:

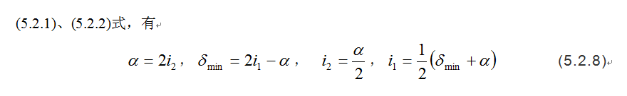
实验原理


实验仪器

实验过程

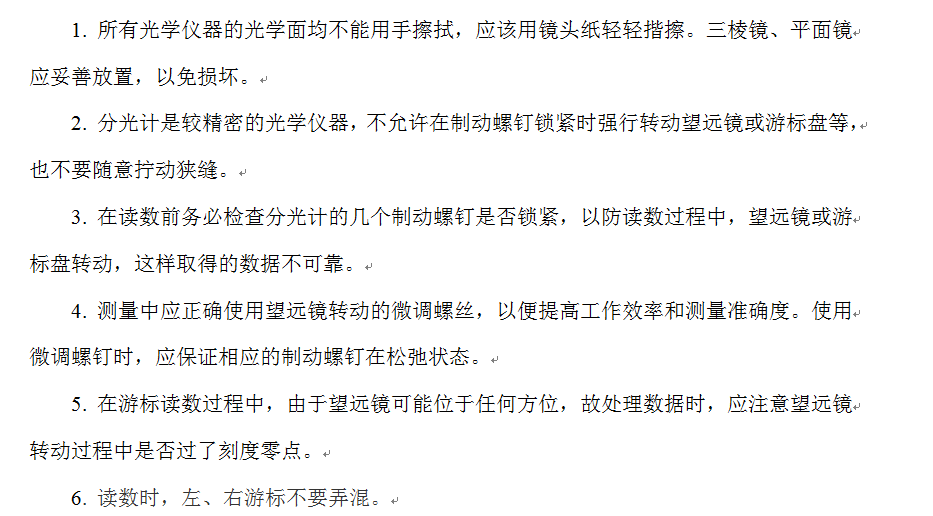
注意事项: