单室模型间歇静滴多剂量给药
上一节
下一节
单室模型间歇静滴多剂量给药
回顾上次课单室模型静注给药由单次到重复给药的推演过程,按照第一次、第二次、第三次给药的血药浓度-时间方程的变化规律,推演出第n次血药浓度-时间方程,通过引入多剂量函数,使n次给药的血药浓度-时间方程得以简化。

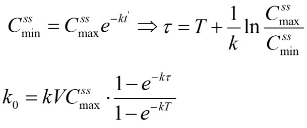
给药间隔τ、t`与k0的估算
为进行间隙静脉滴注给药方案的而设计,我们需要确定滴注速度k0、给药间隔τ和停止滴注时间t`,给药间隔τ可巧妙的通过稳态最大血药浓度与稳态最小血药浓度的关系式求算出来。


