目录

  • 1 绪论
    • 1.1 生物化学发展史、研究内容和在生命科学中的重要地位
  • 2 第一章 蛋白质的结构与功能
    • 2.1 第一节 蛋白质的分子组成
    • 2.2 第二节 蛋白质的分子结构
    • 2.3 第三节 蛋白质结构与功能的关系
    • 2.4 第四节 蛋白质的理化性质
  • 3 第二章 酶与酶促反应
    • 3.1 第一节 酶的分子结构与功能
    • 3.2 第二节 酶的工作原理
    • 3.3 第三节 酶促反应动力学
    • 3.4 第四节 酶的调节
    • 3.5 第五节 酶的分类与命名
    • 3.6 第六节 酶在医学中的应用
  • 4 第三章 核酸的结构与功能
    • 4.1 第一节 核酸的化学组成及其一级结构
    • 4.2 第二节 DNA的空间结构与功能
    • 4.3 第三节 RNA的空间结构与功能
    • 4.4 第四节 核酸的理化性质
  • 5 第七章 糖代谢
    • 5.1 第一节 糖的摄取与利用
    • 5.2 第二节 糖的无氧氧化
    • 5.3 第三节 糖的有氧氧化
    • 5.4 第四节 磷酸戊糖途径
    • 5.5 第五节 糖原的合成与分解
    • 5.6 第六节 糖异生
    • 5.7 第七节 葡萄糖的其它代谢途径
    • 5.8 第八节 血糖及其调节
  • 6 第八章 脂质代谢
    • 6.1 第一节 脂质的构成、功能及分析
    • 6.2 ​第二节 脂质的消化与吸收
    • 6.3 第三节 甘油三脂代谢
    • 6.4 第四节 磷脂代谢
    • 6.5 第五节 胆固醇代谢
    • 6.6 ​第六节 血浆脂蛋白及其代谢
  • 7 第九章 氨基酸代谢
    • 7.1 第一节 蛋白质的营养价值与消化、吸收
    • 7.2 第二节 氨基酸的一般代谢
    • 7.3 第三节 氨的代谢
    • 7.4 第四节 个别氨基酸的代谢
  • 8 第十章 生物氧化
    • 8.1 第一节 生物氧化与能量代谢
    • 8.2 第二节 线粒体氧化体系与呼吸链
    • 8.3 第三节 氧化磷酸化与ATP的生成
    • 8.4 第四节 氧化磷酸化的影响因素
    • 8.5 第五节 其他氧化与抗氧化体系
  • 9 第二十五章 肝的生物化学
    • 9.1 第一节 肝在物质代谢中的作用
    • 9.2 第二节 肝的生物转化作用
    • 9.3 第三节 胆汁与胆汁酸的代谢
    • 9.4 第四节 胆色素的代谢与黄疸
  • 10 第十一章 核苷酸代谢
    • 10.1 第一节 核苷酸代谢概述
    • 10.2 第二节 嘌呤核苷酸的合成与分解代谢
    • 10.3 第三节 嘧啶核苷酸的合成与分解代谢
  • 11 第十三章 真核基因与基因组
    • 11.1 第一节 真核基因的结构与功能
    • 11.2 第二节 真核基因组的结构与功能
  • 12 第十四章 DNA的合成
    • 12.1 第一节 DNA复制的基本规律
    • 12.2 第二节 DNA复制的酶学和拓扑学(1)
    • 12.3 第二节 DNA复制的酶学和拓扑学(2)
    • 12.4 第三节 原核生物DNA复制过程
    • 12.5 第四节 真核生物DNA复制、第五节逆转录
  • 13 第十三章 DNA损伤和损伤修复
    • 13.1 DNA损伤和损伤修复
  • 14 第十五章 RNA的合成
    • 14.1 第一节 原核生物转录的模板和酶
    • 14.2 第二节 原核生物的转录过程
    • 14.3 第三节 真核生物的转录过程
    • 14.4 第四节 真核生物RNA前体的修饰加工及降解
  • 15 蛋白质的合成
    • 15.1 第一节 蛋白质合成体系
    • 15.2 第二节 氨基酸与tRNA的连接
    • 15.3 第三节 肽链的合成过程
    • 15.4 第四节翻译后 加工和靶向输送、第五节降解
    • 15.5 随堂测验
  • 16 基因表达调控
    • 16.1 第一节 基因表达调控的基本概念和特点
    • 16.2 第二节 原核基因表达调控(1)
    • 16.3 第二节 原核基因表达调控(2)
    • 16.4 第三节 真核基因表达调控
    • 16.5 随堂测验
  • 17 细胞信号转导的分子机制
    • 17.1 第一节 细胞信号转导概述
    • 17.2 第二节 细胞内信号转导分子
    • 17.3 第三节 细胞受体介导的细胞信号转导
    • 17.4 第四节,第五节
  • 18 癌基因抑癌基因
    • 18.1 重点难点
    • 18.2 癌基因
    • 18.3 抑癌基因
  • 19 DNA重组和重组DNA技术
    • 19.1 开篇概述、重点难点
    • 19.2 第一节
    • 19.3 第二节第三节
  • 20 常用分子生物学技术
    • 20.1 第一节
      • 20.1.1 第二节
      • 20.1.2 第三节
      • 20.1.3 第四节
      • 20.1.4 第五节
      • 20.1.5 第六节
  • 21 基因诊断基因治疗
    • 21.1 概述
第四节 个别氨基酸的代谢

第四节 个别氨基酸的代谢(0.5h)

特殊代谢途径,重要生理意义。

一、氨基酸的脱羧基作用 


重要的胺类物质:


氨基酸组织功能
γ-氨基丁酸GluL-谷氨酸脱羧酶脑(抑制性神经递质
组胺His组氨酸脱羧酶广泛,乳腺、肺、肝、肌及胃粘膜肥大细胞扩血管,降血压;增加毛细血管通透性;平滑肌收缩等
5-羟色胺Trp

色氨酸羟化酶、

5-羟色氨酸脱羧酶

广泛,神经组织、胃、肠血小板、乳腺

抑制性神经递质;   缩血管
精胺、亚精胺鸟氨酸鸟氨酸脱羧酶生长旺盛组织促进细胞生长增殖
牛磺酸Cys磺基丙氨酸脱羧酶脑组织较多促进神经系统的生长发育;结合胆汁酸的组成成分

二、一碳单位的代谢

(一)一碳单位:某些氨基酸在分解代谢过程中产生的含有一个碳原子的基团,包括-CH3, -CH2-,  -CH=, -CHO,    -CH=NH。

(二)载体是四氢叶酸(FH4)

(三)氨基酸分解代谢产生一碳单位



(五)功能:

一碳单位的主要功能是参与嘌呤、嘧啶的合成。

N10-CHO-FH4与N5,N10=CH-FH4分别为嘌呤合成提供C2与C8;N5,N10-CH2-FH4为胸腺嘧啶核苷酸合成提供甲基。把氨基酸代谢和核酸代谢联系起来。

一碳单位代谢障碍可引起巨幼红细胞性贫血。

三、含硫氨基酸的代谢

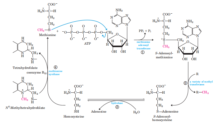
(一)甲硫氨酸的代谢

SAM(S-腺苷甲硫氨酸),活性甲硫氨酸,是体内最重要的甲基直接供体,参与细胞内甲基化反应。

甲硫氨酸循环:N5-CH3-FH4是体内甲基的间接供体,N5-CH3-FH4转甲基酶的辅酶是VitB12。如果VitB12缺乏,不仅影响Met合成,也影响FH4再生,是核酸合成障碍,致巨幼红细胞性贫血。


肌酸的合成:磷酸肌酸是能量储存形式,在心肌、骨骼肌、脑组织中丰富


(二)半胱氨酸的代谢

  1. 半胱氨酸与胱氨酸的互变:二硫键维持蛋白质的结构;有些毒物与其巯基结合,抑制巯基酶的活性;还原型谷胱甘肽,保护蛋白和酶的巯基。

  2. 半胱氨酸是体内硫酸根的主要来源,3’-磷酸腺苷-5’磷酸硫酸(PAPS)为活性硫酸根,是体内硫酸基的供体

四、芳香族氨基酸的代谢

(一)苯丙氨酸和酪氨酸的代谢

  1. 苯丙氨酸转变为酪氨酸


Phe羟化酶先天缺乏,Phe转氨酶使之生成苯丙酮酸及其部分代谢产物,从尿排出,称为苯丙酮尿症。

苯丙酮酸有中枢神经系统毒性,可致智力发育障碍。

2. 酪氨酸转变为黑色素和儿茶酚胺


多巴胺是神经递质,帕金森病原因之一是多巴胺生成减少

酪氨酸酶缺乏导致白化病

3.酪氨酸的分解代谢


(二)色氨酸的代谢


五、支链氨基酸的代谢,


重点内容:一碳单位的概念、载体及其代谢的生物学意义。

难点内容:一碳单位的代谢。

本节新进展:氨基酸代谢与疾病的发生