生物化学(2024秋)

沈阳师范大学 李玥莹

目录

  • 1 绪论
    • 1.1 绪论
  • 2 糖类化学
    • 2.1 糖的概念、分类及生物学作用
    • 2.2 单糖
    • 2.3 二糖和多糖
  • 3 脂类化学
    • 3.1 生物体内的脂类
    • 3.2 脂肪
  • 4 蛋白质化学
    • 4.1 蛋白质的分子组成(一)
    • 4.2 蛋白质的分子组成(二)
    • 4.3 蛋白质的分子组成(三)
    • 4.4 蛋白质的分子结构
    • 4.5 蛋白质结构与功能的关系
    • 4.6 蛋白质的理化性质与分离纯化(一)
    • 4.7 蛋白质的理化性质与分离纯化(二)
  • 5 核酸化学
    • 5.1 核酸的化学组成
    • 5.2 DNA的一级结构
    • 5.3 DNA的空间结构
    • 5.4 RNA的结构
    • 5.5 核酸的性质
  • 6 酶化学
    • 6.1 酶学概论
    • 6.2 酶的活性中心及其作用机理
    • 6.3 酶促反应动力学(一)
    • 6.4 酶促反应动力学(二)
    • 6.5 酶活性的调节控制
  • 7 维生素化学
    • 7.1 维生素总论及脂溶性维生素
    • 7.2 水溶性维生素
  • 8 糖代谢
    • 8.1 无氧氧化途径
    • 8.2 三羧酸循环
    • 8.3 糖的合成代谢
    • 8.4 糖原的合成与分解
    • 8.5 糖异生途径
    • 8.6 血糖及血糖含量调节
  • 9 脂质代谢
    • 9.1 脂类的消化、吸收和运转
    • 9.2 甘油三酯和脂肪酸的分解代谢
    • 9.3 酮体的代谢
    • 9.4 脂肪酸及甘油三脂的合成代谢
  • 10 蛋白质降解和氨基酸代谢
    • 10.1 蛋白质消化、降解及氮平衡
    • 10.2 氨基酸分解代谢
    • 10.3 氨的代谢
    • 10.4 氨基酸碳架的去路
  • 11 核酸降解和核苷酸代谢
    • 11.1 嘌呤核苷酸的代谢(一)
    • 11.2 嘌呤核苷酸的代谢(二)
  • 12 生物氧化
    • 12.1 生物氧化、氧化电子传递链和氧化磷酸化作用
    • 12.2 氧化磷酸化的偶联机理
  • 13 物质代谢的相互联系与调节控制
    • 13.1 物质代谢之间的相互联系
    • 13.2 代谢的调节控制
  • 14 DNA的生物合成
    • 14.1 DNA的复制的特点
    • 14.2 DNA的复制的酶学基础
    • 14.3 DNA复制过程
    • 14.4 RNA指导的DNA合成(逆转录)
    • 14.5 DNA的损伤及修复
  • 15 RNA的生物合成
    • 15.1 DNA指导的RNA合成(转录)
    • 15.2 RNA生物合成的抑制剂
  • 16 蛋白质的生物合成
    • 16.1 参与蛋白质生物合成的物质
    • 16.2 蛋白质生物合成过程
    • 16.3 蛋白质合成后的加工、修饰及分泌
  • 17 试题资源
    • 17.1 试题资源
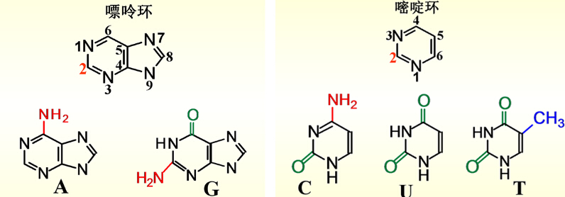
核酸的化学组成
  • 1 章节导学
  • 2 内容
  • 3 测验5.1

一、教学目标

1.了解核苷酸的化学结构及化学性质;

2.掌握核酸二、三级结构及其碱基配对规律;

3.分析比较核酸分子的组成和结构上的特点;

4.联系实际理解核酸性质和生物学功能之间的关系。

二、教学重点

1.碱基、核苷酸的结构、性质

2.核酸的结构、性质和生物功能。

三、教学难点

1 .DNA的结构

2 .RNA的结构

3 .Sanger法测序

四、思维导图