磁场能量
上一节
下一节
1、磁场能量
电容器能储存电能,而在磁场中,载流线圈能储存磁能。

对于充满磁介质的长致密绕螺线管:自感系数为
,
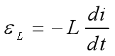
设某一时刻回路中的电流为i,线圈中产生的自感电动势为

电源在时间dt内克服自感电动势做功为下式:
![]()
则在0-t时间内,电流由0增长到最大值I,线圈中储存的磁能为:

载流自感线圈所具有的磁场能量,称为自感磁能.自感磁能,等于电源反抗自感电动势作的功。
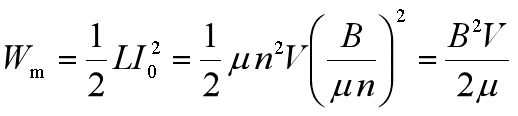
2、磁场的能量密度:
以长直螺线管为例:
![]()
磁场总能量:

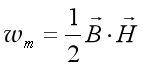
与电场一样,磁能是定域在整个磁场空间的。磁场是均匀存在于螺线管整个体积空间V之中,可得磁场的能量密度,即单位体积内的磁场能量。

可以证明,上式适用于所有各向同性均匀磁介质的磁场能量密度分布。
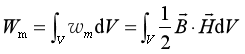
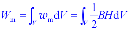
磁场所储存的总能量:
对于普遍的情况,一般磁介质中,

则磁场所储存的总能量:


