磁介质
上一节
下一节
一、磁介质的分类
能够影响磁场的物质为磁介质.
磁介质中的总磁感应强度B是真空中的磁感应强度B0和介质磁化后附加磁感应强度B′的叠加。
相对磁导率 
磁导率 

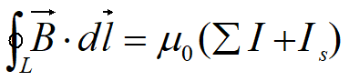
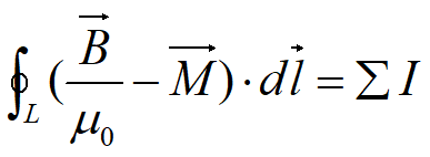
四、磁介质中的安培环路定理
在稳恒磁场中,磁场强度矢量H沿任一闭合路径的线积分(即H的环流)等于包围在环路内各传导电流的代数和,而与磁化电流无关.




五、B与H的关系
各向同性的均匀磁介质:
![]()
![]()
![]()
![]()

六、铁磁质
1.磁化曲线


2.磁滞回线


3.磁畴
概念:铁磁质中原子磁矩自发高度有序排列的磁饱和小区。

4.铁磁质的分类及其应用
按矫顽力的大小可将铁磁质分为软磁材料、硬磁材料和矩磁材料.


