安培环路定理
上一节
下一节
1、安培环路定理:
(1)对任意形状的回路,




电流方向与积分回路方向呈右螺旋关系 I >0 ;反之 I < 0 。
(2)若积分环路不平行垂直平面
磁场环流为




等于把磁场对环路投影的积分。

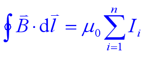
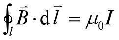
安培环路定理:在稳恒磁场中、磁感应强度B沿任意闭合回路的积分等于穿过闭合回路的电流的代数和的倍。即:

注意电流 I 正负的规定: I 与 l 成右螺旋时, I 为正; 反之l为负。
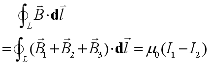
讨论:(1)多个电流:


(2)环流不代表磁力的功,是磁场与电流的关系。
(3)环路上各点的磁场为所有电流的贡献;
(4)利用安培环路定理, 可以计算具有一定对称性分布的载流导线周围的磁场分布。
2、安培环路定理的应用举例
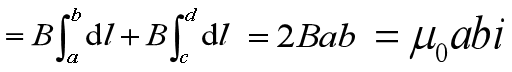
例1. 长直载流螺线管内的磁场分布(忽略边缘效应),已知:I、n(单位长度导线匝数)

解:(1)根据对称性,管内与螺线管轴线平行的直线上各点B相等,故管内为均匀磁场。(2)管外面,磁场强度趋近于0,
。
管内B的大小的计算: 作矩形环路a b c d,如图


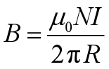
例2 求载流螺绕环内的磁场。



螺线管内部近似为均匀磁场。
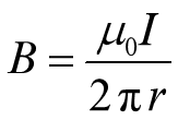
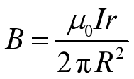
例3 无限长载流圆柱体的磁场。

解: (1) 对称性分析:轴对称结构,回路为圆柱截面内半径为r的同轴圆周。
![]()


磁感应强度B的方向与I 成右螺旋。


例4 求 “无限大平板” 电流的磁场,单位宽度电流为i。


解: 面对称


磁感应强度B的方向:上部方向水平向左,下部方向水平向右。

