电场力的功 电势
上一节
下一节
一、电场力的功
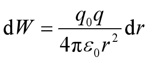
1、点电荷的电场

![]()


结果:
仅与
的始末位置有关,与路径无关.
2、任意带电体的电场(带电体可看成是许多点电荷的集合)



结论:试验电荷在任何静电场中移动时,静电场力所作的功,只与电场的性质、试验电荷的电量大小及路径起点和终点的位置有关,而与路径无关。所以静电力是保守力,静电场是保守场。
二、静电场的环流定理



静电场的环流定理:在静电场中,场强E的环流恒等于零。(静电场是保守场)
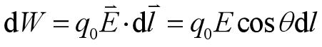
三、电势能
静电场是保守力场.静电场力所做的功等于相应电势能增量的负值.
![]()

在理论研究中, 常取无穷远处为电势能的零参考点。
试验电荷
在电场中任意一点的电势能在数值上等于把它由该点移到电势能零点处时静电场力所做的功.
四、电势 电势差
1、若规定无穷远处为电势零点,则电场中某点a的电势在数值上等于把单位正电荷从该点沿任意路径移到无穷远处时电场力所作的功.

2、单位:伏特![]()
3、电势零点选择方法:有限带电体以无穷远为电势零点,实际问题中常选择地球电势为零.
静电场中任意两点a和b电势之差称为a,b两点的电势差,也称为电压.

静电场中a,b两点的电势差等于单位正电荷从a点移到b点时电场力做的功.
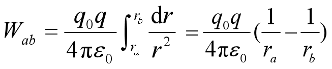
4、静电场力的功![]()
注意:电势差是绝对的,与电势零点的选择无关;电势大小是相对的,与电势零点的选择有关.

