电通量 高斯定理
上一节
下一节
一、电场的图示法 电场线
为了形象的秒速电场中电场强度的分布,可以在电场中绘制一系列的取消,使这些曲线上每个点的切线方向都与该点电场强度的方向一致,这些曲线叫做电场线。为了使电场线不仅表示出电场中电场强度的方向,而且还表示电场强度的大小,我们规定:在电场中任一点处,通过垂直于电场强度的单位面积的电场线的数目等于该点处电场强度的大小。
静电场电场线有以下性质:
(1)不形成闭合回线也不中断,而是起自正电荷(或无穷远处)、止于负电荷(或无穷远处).
(2)任何两条电力线不相交.说明静电场中每一点的场强是唯一的.
典型的几种带电体的电场线:





二、电通量
通过电场中任一给定面的电场线数称为通过该面的电通量.








说明:
(1)穿入为负,穿出为正
通过闭合曲面的电通量:

通过闭合曲面的电通量: 穿出、穿入闭合面电场线条数之差。
(2)电通量是代数量。
三、高斯定理
通过真空静电场中任一闭合面的电通量 等于包围在该闭合面内的电荷代数和
的
分之一,而与闭合面外的电荷无关.


1、点电荷位于球面中心


穿过球面的电场线条数为 ![]()
2、点电荷在任意闭合曲面内


发出的
条电场线不会中断,仍全部穿出封闭曲面S
3、点电荷在闭合曲面之外

穿出、穿入的电场线条数相等。
![]()
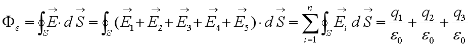
4、多个点电荷




总 结:
1)高斯面上的电场强度为所有内外电荷的总电场强度.
2)高斯面为封闭曲面.
3)穿进高斯面的电通量为负,穿出为正.
4)仅高斯面内的电荷对高斯面的电通量有贡献.
5)静电场是有源场.

