相对于观察者静止的电荷称为静电荷,由静电荷产生的场为静电场。
一、电荷
电荷的基本性质有:
1、电荷有正负之分;
2、同性相斥,异性相吸.
3、电荷量子化: 电子电荷
![]()
4、电荷守恒定律 :在一孤立系统内,无论发生怎样的物理过程,该系统电荷的代数和保持不变,这就是电荷守恒定律.
二、库仑定律
两个静止带电体之间的作用力,即为静电力。当带电体本身的线度与它们之间的距离相比足够小时,带电体可以看作是点电荷。
点电荷的特点(1)带电体的大小、形状可以忽略。
(2)把带电体视为一个带电的几何点。
真空中两个静止点电荷之间相互作用力的大小与这两个点电荷所带电量q1和q2的乘积成正比,与它们之间的距离r的平方成反比.作用力的方向沿着两个点电荷的连线,同号电荷相互排斥、异号电荷相互吸引.这就是库仑定律.


:施力电荷指向受力电荷的矢径方向的单位矢量
电荷q1 对q2 的作用力F1

说明
(1) 库仑定律适用于真空中两个点电荷之间的作用。
(2) 库仑力满足牛顿第三定律
(3)静电力的叠加原理:当空间同时存在几个点电荷时,它们共同作用于某一点电荷的静电力等于其他各点电荷单独存在时作用在该点电荷上的静电力的矢量和.
三、电场强度
1、静电场
法拉第认为,静电力是物质之间的相互作用,这种特殊的物质有电荷产生,叫做电场。电荷和电荷之间时通过电场这种物质传递相互作用的,这种相互作用可以表示为:

相对于观察者为静止的带电体周围存在的电场称为静电场。静电场的对外表现主要有:
a.对电场中的带电体施以力的作用。
b.当带电体在电场中移动时, 电场力作功。(表明电场具有能量)
c.变化的电场以光速在空间传播。 (表明电场具有动量)
2、电场强度
电场中某点处的电场强度
等于位于该点处的单位试验电荷所受的力,其方向为正电荷受力方向.

单位![]()
电荷在电场中受力![]()
电场中任意一点的电场强度等于单位正电荷在该店所受到的电场力。
四、电场强度的叠加原理
电场中任一场点处的总的电场强度等于各个点电荷单独存在时在该点各自产生的电场强度的矢量和.这就是电场强度叠加原理.

五、电场强度的计算
1、点电荷电场强度的计算
根据场强定义式即库仑定律,可得

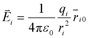
2、点电荷系的电场
Ei为qi单独存在时在P点产生的电场的场强,

根据场强叠加原理,P点总场强

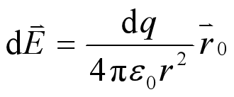
3、电荷连续分布的带电体的电场
可以把带电体分隔长无限多个电荷元dq.dq在P点产生的电场强度


根据电场强度的叠加原理,带电体在P点的总的电场强度为

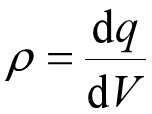
若电荷连续分布在一体积内,电荷体密度
,则![]()
若电荷连续分布在一曲面或平面上,电荷面密度
,则![]()
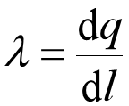
若电荷连续分布在一曲线或直线上,电荷线密度
,则![]()

