第七节 我国对货币需求理论的研究和探索
一、利用计量模型对货币需求量的测算
(一)西方学者的实证研究
美国中央银行(美联储)的货币需求量计量模型

其中,Md/P为实际货币需求量;Ms/P为上期已知的货币供应量(M1、 M2 、 M3);GNP/P为实际国民生产总值;
R为联邦基金等短期利率的综合;r为定期存款和长期债券等利率的综合;
为常数系数,可根据有关统计资料,用最小二乘法解出。
(二)我国学者的探索
1. 基本公式法
考虑到经济活动中货币流通的连续性和继承性,根据经济增长率,物价变动率和货币流通速度变化率三个因素,计算计划期的货币需求量增长率。
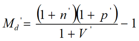
其公式如下:

其中,Md’为货币需求量增长率;n’为经济增长率; p’为计划调价幅度; V’为货币流通速度变化率。
2.微分法

3. 假设条件
(1)要求基期货币流通状况基本正常
(2)货币执行流通手段职能,不包括贮藏职能
二、我国货币需求函数的重新构造
(一)我国货币需求函数
![]()
其中,Y为按不变价格计算的实际国民收入;Md为总体货币需求量;
P为价格水平;Ib为银行存款利率;Im为金融资产收益率;u为随机变量。
(二)我国货币需求的影响因素
我国的货币需求模型主要包括四项因素:
1. 实际国民收入
货币需求量与实际国民收入成同方向变动;
2. 价格水平
货币需求量与价格水平成同方向变动;
3. 银行存款利率
货币需求量与银行存款利率成同方向变动;
4. 金融资产收益率
货币需求量与金融资产收益率成反方向变动。
教学视频:我国的货币需求理论 北京信息科技大学 李宏伟

