第二节 现代信用货币供给机制
一个基本模型:
Ms=B×m
Ms为货币供应量;B为基础货币;m为货币乘数
基本原理:货币供给量是基础货币与货币乘数的乘积
一、基础货币
1)基础货币的含义及其构成
⚫基础货币(Base Money) :又称高能货币或储备货币,是整个银行体系内存款扩张、货币创造的基础,其数额大小对货币供应总量具有决定性的作用。
⚫构成:流通于银行体系之外的现金+商业银行等存款性公司的准备金(库存现金+在中央银行的准备金存款)B=C+R
⚫基础货币直接表现在中央银行资产负债表的负债方。
⚫我国的基础货币在中国人民银行资产负债表中列在“储备货币”栏中,主要由货币发行、其他存款性公司存款等项目构成。
中国人民银行2020年资产负债表

2)基础货币的收放渠道和方式
⚫国外资产业务与基础货币
⚫对政府债权与基础货币
⚫对金融机构债权与基础货币
⚫负债业务与基础货币

基本原理:中央银行通过国外资产业务、对政府债权、对金融机构债权等资产业务收放基础货币,通过发行中央银行票据、回购等负债业务调节基础货币。
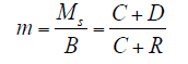
二、货币乘数
货币乘数:货币供应量相对于基础货币的倍数。
◆货币乘数公式的推导:

分子分母同除以D可得,

式中,C/D为通货-存款比率(提现率),R/D为准备金与存款的比率。
由货币乘数的公式可以知道,决定货币乘数的因素主要有两个,即:通货-存款比率和准备-存款比率。
◎通货-存款比率(Currency-Deposit Ratio):通货与商业银行存款的比率。
◎准备-存款比率(Reserve-Deposit Ratio):商业银⾏行行法定准备⾦金金和超额准备⾦金金的总和占全部存款的比率,
大小主要取决于央行和商业银行。

教学视频:基础货币 北京信息科技大学 徐文彬
教学视频:货币乘数、货币供给模型、货币供给机制 北京信息科技大学 徐文彬

