
教学要求:
掌握原始误差及其敏感方向;
熟悉工艺系统的几何误差、受力变形、热变形以及其他影响加工精度的因素;
掌握加工误差的统计学分析方法;
了解控制机械加工精度的途径。

影响机械加工精度的因素
加工精度是零件机械加工质量的重要指标,直接影响整台机器的工作性能和使用寿命。深入研究影响加工精度的各种因素及其规律,探究提高和保证加工误差的措施和方法是机械制造工艺学研究的重要内容。
1. 影响机械加工精度的因素
研究提高加工精度的工艺措施要从减少加工误差入手。
加工误差是指零件加工的实际几何参数相对理想几何参数的偏离程度。
按照几何参数类型可将加工误差分类为尺寸加工误差、形状加工误差和位置加工误差。
尺寸加工误差、形状加工误差和位置加工误差分别是加工零件的实际尺寸、形状和位置相对理想的尺寸、形状和位置的偏差。
在机械加工中,零件的尺寸、几何形状和表面间相对位置的形成,取决于工件和刀具在切削过程中的相互位置关系,而工件安装在夹具上,夹具和刀具安装于机床之上,机床、夹具、刀具和工件组成工艺系统。
直接或间接影响机械加工工艺系统的因素都将影响机械加工精度。
将工艺系统中能够直接引起加工误差的因素统称为原始误差。
原始误差中的一部分与工艺系统的初始状态有关,即零件未加工之前工艺系统本身就具有的某些误差因素,称为与工艺系统的初始状态有关的原始误差,或称几何误差;
而另一部分原始误差与加工过程有关,即受到力、热、磨损等原因的影响,工艺系统原有精度受到破坏而产生的附加误差因素,称为与加工过程有关的原始误差,或动误差。
机械加工过程中可能出现的原始误差如下。

2. 加工误差及误差敏感方向
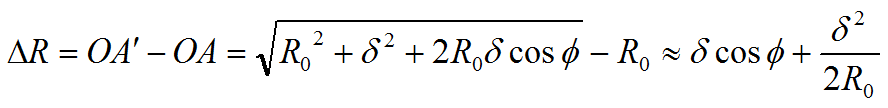
以下图车削外圆为例,工件的回转中心为O,刀尖的理想位置在A处,工件理想半径R0=OA。

假设各种原始误差的综合影响使刀尖的位置偏离到A',实际加工工件半径R=OA'。AA' 即为原始误差δ,它与OA间的夹角为Φ。因而工件半径上(即工序尺寸方向上)的加工误差ΔR为
(5.1)
分析可知:
(1)当原始误差的方向为加工表面的法向方向时,即Φ=0°,引起的加工误差最大;
(2)当原始误差的方向为加工表面的切线方向时,即Φ=90°,引起的加工误差最小,通常可以忽略。
显然,原始误差方向与工序尺寸方向相正交时,原始误差对加工方向的精度几乎没有影响。
原始误差对加工精度影响最大的方向称为误差的敏感方向,而原始误差对加工精度影响最小的方向称为误差的不敏感方向。
一般加工表面的法线方向为误差敏感方向,而加工表面的切线方向为误差非敏感方向。
通常在研究工艺系统的加工精度时,主要研究误差敏感方向的精度。


