-
1 知识点学习
-
2 微课
-
3 测验与讨论
-
4 课外拓展知识
-
5 课程思政
核医学成像是医学影像诊断中的重要技术手段之一。基础是原子核物理。研究原子核的结构、特性核相互转变等。首先介绍原子核的性质与衰变类型。
第一节 原子核的性质和衰变类型
一、原子核的组成(原子核由什么组成?怎么组成的?)
原子核由质子与中子组成。质子与中子统称为核子。质子质量mp,中子质量mn
在核物理中,通常用原子质量单位u来表示微观粒子的质量单位。一个原子质量单位等于12C质量的1/12.
将质子与中子组合在一起的力称为“核力”。不是万有引力,也不是电磁力。
二、质量亏损(组成原子核的过程中会发生什么?)
核子在组成原子核的过程中,原子核的质量小于所有核子质量之和。
差ΔM称为质量亏损。
三、结合能(亏损的质量哪里去了?)
根据爱因斯坦质能方程ΔE=ΔMc^2.
亏损的质量相当于有能量放出,称为结合能。
平均结合能:单个核子结合成原子核时放出的能量称为原子核的平均结合能。
四、原子核的稳定性(结合能与稳定性的关系)
平均结合能越大,则原子核的稳定性越好。
平均结合能越大,则原子核分解为单个核子所需要的能量就越大,原子核越稳定。
中等质量的原子核,平均结合能比轻核与重核的都更大,所以中等质量的原子核稳定性更好。
五、衰变(不稳定的原子核会怎么样)
1、α衰变
不稳定的放射性核素放出α粒子而变成另一种核素的衰变过程。α粒子:氦原子核。![]()
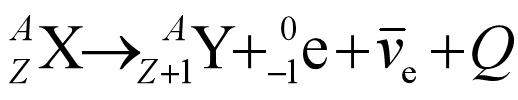
β衰变
不稳定的放射性核素放出电子或正电子的衰变过程称为β衰变。
β-:![]()
β+:![]()
3、γ衰变
原子核从激发态跃迁到基态的过程中,释放出γ光子并释放过剩能量。

第二节 衰变规律
一、衰变规律
指数衰变规律
二、与衰变有关的物理量
1、衰变常数
单位时间内衰变的核数与当时存在的核数之比。或者一个放射性核素在单位时间内的衰变概率。
2、半衰期
核的数量因为发生自发核衰变而减少到原来核数一半所需要的时间
3、生物衰变常数
引入人体后,放射性核素的数目除了按照自身的核衰变规律而减少外,还由于排泄等因素而减少。由于排泄作用而减少也按指数规律变化,对应的衰变常数是生物衰变常数。
4、平均寿命
原子核在衰变过程中平均存在的时间称为放射性核素的平均寿命。
5、放射性活度
单位时间内衰变的原子核数。
三、递次衰变
不稳定的原子核衰变成子核之后,如果子核仍然有放射性,则子核将按照自己的衰变方式继续衰变。直到形成稳定的核素为止。


