-
1 知识点学习
-
2 微课
-
3 测验与讨论
-
4 拓展
-
5 课程思政
什么是超声波?超声波是如何发现的?超声波有什么特点?如何表征超声波的能量,这都是本节需要学习的内容。
第一节 超声波基本知识
一、超声波的概念
频率大于20KHz的机械波成为超声波。
二、超声波的分类
1、按震动方式分:横波和纵波
请学习:什么是横波,什么是纵波。超声波在诊断中通常为什么波?
2、按频率分:
请学习:常规诊断超声的频率范围是多少?请思考频率对图像的影响有哪些?
3、按发射方式分:
请学习脉冲波的几个特征量表达的含义:脉冲宽度,脉冲重复频率/脉冲重复周期。
三、物理量和特征量
1、声速、
请学习:超声波在固液气中传播速度的大小,在人体软组织中传播速度是多少?
2、波长和频率
请学习:波长和频率的关系,会计算波长或者频率。
3、声压
4、声强
请学习:声压和声强表达是是什么?和什么有关?声压和声强之间有什么关系?
5、声阻抗
请学习:什么是声阻抗,和什么量有关?人体组织中可以按声阻抗分为哪几大类?超声重点检查哪一类声阻抗的组织。
6、声强级和声压级
第二节 超声场
什么是“场”?磁场,电场,气场......能量在空间上的分布。什么是超声场?超声能量在空间上的分布?什么量可以表示超声能量?-----声压,声强,声压级,声强级。
本节内容研究超声能量在空间上的分布。以及超声聚焦的方法。
一、超声场
1、在中心轴线上的分布
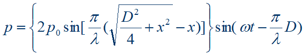
惠更斯原理推导出:

请思考:该公式有什么变量?表达了超声能量分布的什么特点?
变量:x,t
表示任何一点超声场的能量都是随时间变化的,变化的幅值和位置x有关。

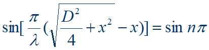
(1)近场区,幅值起伏变化,范围0~2P0
当
时,极小值。
当
时,极大值
2、角分布

反应超声波束指向性的量:半扩散角
二、声束的聚焦
1、声透镜方法

2、电子聚焦方法

3、可变孔径





