目录

  • 1 原子结构
    • 1.1 课程的开篇
    • 1.2 原子中的电子
    • 1.3 电子排布式
    • 1.4 元素周期表
    • 1.5 章节测试与讨论
  • 2 化学键与分子结构
    • 2.1 化学键的分类
    • 2.2 共价键的成键理论
    • 2.3 分子间的作用力
    • 2.4 章节测试与讨论
  • 3 晶体结构
    • 3.1 晶体的特征
    • 3.2 晶体的分类
    • 3.3 章节测试
  • 4 元素化学概论
    • 4.1 主族元素
    • 4.2 副族元素
    • 4.3 个性化学习 小作业
  • 5 化学平衡
    • 5.1 化学平衡
    • 5.2 化学平衡的应用
    • 5.3 化学反应速率
    • 5.4 章节测试与讨论
  • 6 酸碱平衡及沉淀平衡
    • 6.1 酸碱质子理论
    • 6.2 酸碱平衡的移动及计算
    • 6.3 沉淀的形成与溶解
    • 6.4 章节测试
  • 7 数据处理及酸碱滴定
    • 7.1 误差与偏差
    • 7.2 有效数字及其运算法则
    • 7.3 酸碱滴定分析
    • 7.4 酸碱滴定法应用示例
    • 7.5 章节测试与讨论
  • 8 配位化合物及其应用分析
    • 8.1 配位化合物基本概念
    • 8.2 配合物的化学键理论
    • 8.3 配合物在溶液中的离解平衡
    • 8.4 配位滴定法
    • 8.5 章节测试与讨论
  • 9 氧化还原反应与氧化还原滴定法
    • 9.1 氧化还原反应方程式的配平
    • 9.2 电极电位及能斯特方程
    • 9.3 电化学方法理解氧化还原平衡
    • 9.4 氧化还原滴定法
    • 9.5 章节测试与讨论
  • 10 沉淀平衡及其在分析中的应用
    • 10.1 重量分析法
    • 10.2 沉淀滴定法
    • 10.3 章节测试与讨论
  • 11 化学中的分离方法
    • 11.1 沉淀分离与萃取分离
    • 11.2 色谱分离与离子交换法
    • 11.3 课程的结篇
    • 11.4 章节测试
原子中的电子
  • 1 学习要点与层次
  • 2 课时视频与课件
  • 3 富媒体词条
  • 4 课时小测

章节内容层次分解一览表                                                                  

 

基本概念

 
 

基本原理和应用

 
 

整体认知目标

 
 

2-1 微观粒子与量子力学

 
 

2-a 原子中电子的排布表示方式

 
 

2-A 电子在原子中的运行规律和能量状态,以及如何影响其基本物理化学性质?

 

 

 
 

2-2 微观粒子的特征

 
 

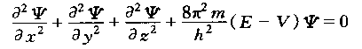
2-3 薛定谔方程和波函数

 
 

2-4 原子中电子的四量子数

 
 

2-5 多电子原子能级交错

 
 

2-6 电子排布三原则

 
 

2-7 元素周期表中的周期、族与区

 
 

 2-b 元素周期表中变化规律 

 
 

2-8 原子、离子半径和范德华半径

 
 

2-9 电离能、电子亲和能和电负性