欧拉公式的适用范围 经验公式
上一节
下一节
教学视频
本节主要内容
9.4 欧拉公式的适用范围 经验公式
一、 基本概念
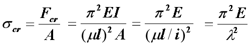
1.临界应力:压杆处于临界状态时横截面上的平均应力。

2.细长压杆的临界应力:

![]()
3.柔度:

二. 压杆的分类
(1)大柔度杆(细长压杆)
![]()

失效形式:发生弹性屈曲
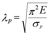
例如:A3钢,当取 E = 206GPa,σp=200MPa ,

只有压杆的长细比λ≥100时,才能应用欧拉公式计算其临界压力。
(2)中柔度杆(又称中长杆)
![]()
失效形式:非弹性屈曲
(3)小柔度杆(又称粗短杆)
![]()
失效形式:屈服
三. 各类压杆临界应力的确定
(1)大柔度杆的临界应力——欧拉公式

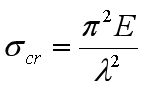
(2)中柔度杆的临界应力——经验公式
![]()
![]()
其中,a, b, a1, b1分别是与材料性质有关的常数。
(3)小柔度杆的临界应力——强度计算式
![]()
四、临界应力总图


