其他支座条件下细长压杆的临界压力
上一节
下一节
教学视频
本节主要内容
9.3 其它支座条件下细长压杆临界压力
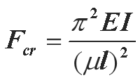
各种支座情况下,细长压杆临界力的欧拉公式为

μ —长度因数(或约束系数)。
各种支座条件下的临界压力

μ——长度因数
μ l ——相当长度;压杆失稳时,挠曲线上两拐点间的长度就是压杆的相当长度μ l 。
【说明】
如何确定欧拉公式中横截面的惯性矩 I ?

① 杆端在各纵向平面的约束情况相同,取 Iy ,Iz 中较小者计算临界压力。
② 杆端在各纵向平面的约束情况不同,分别用 Iy ,Iz 计算两个平面内的临界压力,取较小者作为压杆的临界压力。

