两端铰支细长压杆的临界压力
上一节
下一节
教学视频
本节主要内容
9.2 两端铰支细长压杆临界压力
假定压力已达到临界值,杆已经处于微弯状态,求临界力。

取坐标系如图所示
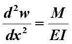
① 弯矩:
![]()
② 挠曲线近似微分方程:



![]()
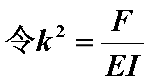
③ 微分方程的解:
![]()
④ 确定积分常数:
![]()

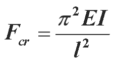
临界压力 Fcr 是微弯下的最小压力,故只能取 n = 1 。

两端铰支压杆临界力的欧拉公式

公式的应用条件:1.理想压杆;2.线弹性范围内;3.两端为球铰支座。

