弯扭组合变形
上一节
下一节
教学视频
本节主要内容
8.3 扭转与弯曲的组合
弯扭组合问题的求解步骤:
①外力分析:外力向形心简化并分解。
②内力分析:作出每个外力分量对应的内力方程和内力图,确定危险面。
③应力分析:建立强度条件。
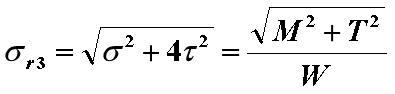
由第三强度理论

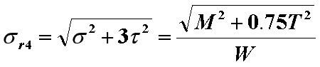
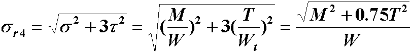
由第四强度理论

讨 论
1、
,
![]()

① 该公式适用于图示的平面应力状态。σ 是危险点的正应力,τ 是危险点的切应力。且横截面不限于圆形截面。
② 该公式适用于弯扭 组合变形;拉(压)与扭转的组合变形;以及拉(压),扭转与弯曲的组合变形。
2、对圆形截面杆,

弯扭组合变形时,相应的相当应力表达式可改写为


式中W为杆的抗弯截面系数。M,T分别为危险截面的弯矩和扭矩. 以上两式只适用于弯扭组合变形下的圆截面杆。

