拉弯(压弯)组合变形
上一节
下一节
教学视频
本节主要内容
8.2 拉伸或压缩与弯曲的组合
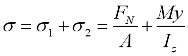
一、拉(压)弯组合变形:杆件同时受横向力和轴向力的作用而产生的变形。


FN 、M 、y均按其正负规定代入具体数值,则上述公式求得的正应力表明为拉应力、负应力表明为压应力。
二、分析步骤
1、外力分析
2、内力分析
3、应力分析
4、强度分析:危险点处的应力状态仍为单向应力状态。
当材料的许用拉应力和许用压应力相等时,其强度条件为
![]()
当材料的许用拉应力和许用压应力不相等时,其强度条件为
![]()
![]()

