教学视频
本节主要内容
7.8 强度理论及其应用
一、引言
1、铸铁与低碳钢的拉、压、扭试验现象是怎样产生的?
2、组合变形杆将怎样破坏?
二、强度理论:关于构件发生强度失效起因的假说。
一类是关于脆性断裂的强度理论;
一类是关于塑性屈服的强度理论。
1、最大拉应力理论——第一强度理论
认为构件的断裂是由最大拉应力引起的。当最大拉应力达到单向拉伸的强度极限时,构件就断了。
(1)破坏判据:
![]()
(2)强度准则:
![]()
(3)适用范围:破坏形式为脆断的构件
2、最大伸长线应变理论——第二强度理论
认为构件的断裂是由最大伸长线应变引起的。当最大伸长线应变达到单向拉伸试验下的极限应变时,构件就断了。
(1)破坏判据:
![]()
(2)强度准则:
![]()
(3)适用范围:破坏形式为脆断的构件。
3、最大切应力理论——第三强度理论
认为构件的屈服是由最大切应力引起的。当最大切应力达到单向拉伸试验的极限切应力时,构件就破坏了。
(1)破坏判据:
![]()
(2)强度准则:
![]()
(3)适用范围:适用于破坏形式为屈服的构件。
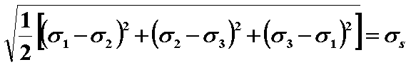
4、畸变能密度理论——第四强度理论
认为构件的屈服是由畸变能引起的。当畸变能密度达到单向拉伸试验屈服时畸变能密度时,构件就破坏了。
1、破坏判据:

2、强度准则:

3、适用范围:适用于破坏形式为屈服的构件。
这个理论和许多塑性材料的试验结果相符,用这个理论判断碳素钢的屈服失效是相当准确的。
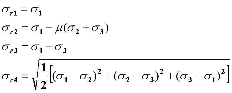
四个强度理论的强度条件可写成统一形式:
相当应力
![]()

【说明】
1、一般说来,在常温和静载的条件下,
脆性材料多发生脆性断裂,采用第一、第二强度理论;
塑性材料多发生塑性屈服,采用第三、第四强度理论。
2、影响材料的脆性和塑性的因素很多,
例如:低温提高脆性,高温提高塑性;
在高速动载荷作用下脆性提高,在低速静载荷作用下保持塑性。
3、无论是塑性材料或脆性材料:
(1)在三向拉应力接近相等的情况下,都以断裂的形式破坏,所以应采用最大拉应力理论;
(2)在三向压应力接近相等的情况下,都可以引起塑性变形,所以应该采用第三或第四强度理论。
三.、强度计算
强度计算的步骤:
1、外力分析:确定所需的外力值。
2、内力分析:画内力图,确定可能的危险面。
3、应力分析:画危面应力分布图,确定危险点并画出单元体,求主应力。
4、强度分析:选择适当的强度理论,计算相当应力,然后进行强度计算。
四、强度理论的选用原则:依破坏形式而定。
1、脆性材料:
当σ3≥0时,使用第一理论;
当σ3<0且σ1>0 时,使用莫尔理论。
当σ1≤0 时,使用第三或第四理论。
2、塑性材料:
当σ3≥0时,使用第一理论;
其它应力状态时,使用第三或第四理论。
3、简单变形时:一律用与其对应的强度条件。
4、破坏形式还与温度、变形速度等有关。
拓展阅读

在世界力学领域发出中国声音 ——俞茂宏
图片来源网络,仅供教学使用。

