广义胡克定律
上一节
下一节
教学视频
本节主要内容
7.6 广义胡克定律
一、单向拉压的应力——应变关系


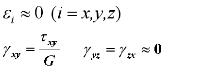
二、纯剪切的应力——应变关系


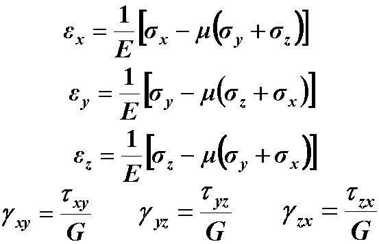
三、三向应力状态下的应力 --- 应变关系——广义胡克定律

在线弹性范围内,线应变只与正应力有关,与切应力无关,切应变只与切应力有关,而与正应力无关。
广义胡克定律

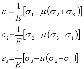
四、主应力 --- 主应变关系
通过一点一定存在三个相互垂直的方向,在这三个方向上,线应变为极值,而切应变等于零,这样的极值线应变称为主应变。


![]()
可以证明:主应力与主应变方向一致。
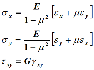
五、二向应力状态下的应力---应变关系:

![]()



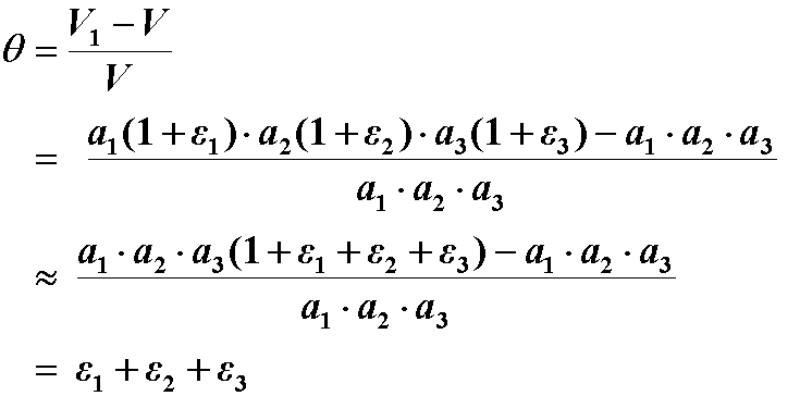
六、体积应变与应力分量间的关系
构件每单位体积的体积变化, 称为体积应变用θ表示。
各向同性材料在三向应力状态下的体积应变:


体积胡克定律:

此式说明:体应变只与三个主应力之和有关,与三个主应力的比例无关。
![]()

