三向应力状态
上一节
下一节
教学视频
本节主要内容
7.5 三向应力状态
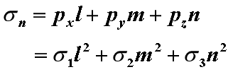
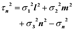
一、已知三个主应力,求斜截面上的应力

设斜截面 ABC 法线 n 的三个方向余弦为:l , m , n

,
,![]()
![]()


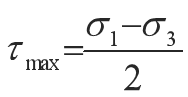
二、三向应力状态的图解法

弹性理论证明,左图单元体内任意一点任意截面上的应力都对应着右图的应力圆上或阴影区内的一点。
整个单元体内的最大切应力为:

注意:
1、若斜截面∥σ2,则m=0,斜截面应力与σ2无关, 仅受σ1和σ3影响. 应力圆由σ1和σ3作出。
2、二向应力状态可视作三向应力状态的特例。

