二向应力状态分析的图解法
上一节
下一节
教学视频
本节主要内容
7.4 二向应力状态分析的图解法
一、应力圆

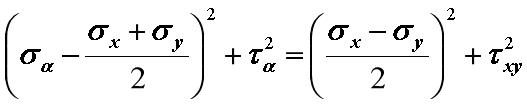
此方程曲线称为应力圆。
二、应力圆的画法
1.建立应力坐标系
2.在坐标系内画出点 D(σx,τxy) 和 Dˊ (σy,τyx)
3. DDˊ 与σα 轴的交点C便是圆心。
4. 以C 为圆心,以CD 为半径画圆——应力圆;

三、单元体与应力圆的对应关系
1. 面上的应力(σα,τα) ←→应力圆上一点(σα,τα)
2. 面的法线 ←→应力圆的半径
3.两面夹角α←→两半径夹角2α ;且转向一致。
四、应力圆的应用
1. 求单元体任意截面上的应力
从 CD 转动 2α 得到半径CE,E 点的横纵坐标就是斜截面上的正应力σα和切应力τα 。

2. 求主平面方位
由 CD顺时针转 2α0 到CA1 ,所以单元体上从 x 轴顺时针转 α0 (负值)即到 σ1对应的主平面的外法线。
α0 确定后, σ1对应的主平面方位即确定。


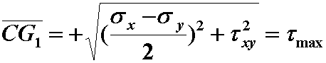
3. 求最大切应力

G1 和 G 两点的纵坐标分别代表最大和最小切应力


五、几种特殊应力状态的应力圆
1、单向拉伸

2、单向压缩

3、纯剪切

4、两向均拉


