提高弯曲刚度的措施
上一节
下一节
本节主要内容
6.6 提高弯曲刚度的措施
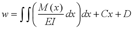
挠曲线近似微分方程:

转角方程:

挠曲线方程:

弯曲变形与弯矩大小、跨度长短、支座条件、梁截面的惯性矩I、材料的弹性模量E有关。
措施:① 降低Mmax的数值 ②提高WZ和IZ的数值
一、改善结构形式,减小弯矩的数值
1.改善载荷作用方式

工程实例:

2. 改变支座形式

3.缩小跨度

4.采用超静定结构

工程实例:

二、选择合理的截面形状,提高IZ的数值
工字形、槽形、T形截面比面积相等的矩形截面有更大的惯性矩。例如,起重机大梁一般采用工字形或箱形截面。
一般说,提高截面惯性矩的数值,往往也同时提高了梁的强度。不过在强度问题中,是提高弯矩较大的局部范围内的抗弯截面系数。而弯曲变形与全长内各部分的刚度都有关系,往往要考虑提高杆件全长的弯曲刚度。
三、选用高强度材料,提高许用应力值
同类材料,“E”值相差不多,“σ”相差较大,故换用同类材料只能提高强度,不能提高刚度。
不同类材料,E和G都相差很多(钢E=200GPa , 铜E=100GPa),故可选用不同的材料以达到提高刚度的目的。但是,改换材料,其原料费用也会随之发生很大的改变。
部分图片来源网络,仅供教学使用。

