挠曲线的微分方程
上一节
下一节
教学视频
本节主要内容
6.2 挠曲线的微分方程
一、挠曲线:梁变形后,轴线变为光滑曲线,该曲线称为挠曲线。

二、度量梁弯曲变形的两个量——挠度和转角
1.挠度w :横截面形心沿垂直于y方向的线位移。与 y同向为正,反之为负。
挠曲线方程为: w =f (x)
2.转角θ :横截面绕其中性轴转动的角度。逆时针转动为正,反之为负。
三、转角与挠曲线的关系:

转角等于挠度的一阶导数。
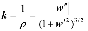
四、挠曲线的微分方程
曲线 w=f(x) 的曲率为

小变形、纯弯曲情况下


挠曲线近似微分方程

适用条件:
(1)右手坐标系,小变形
(2)材料服从胡克定律

