横力弯曲时的正应力
上一节
下一节
教学视频
本节主要内容
5.3 横力弯曲时的正应力
一、计算公式
对于细长梁(l / h ≥ 5)

二、弯曲正应力强度条件(以等截面梁为例)

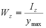
引入记号:
Wz 称为抗弯截面系数.
则弯曲正应力强度条件可改写为:

三、弯曲正应力强度条件的应用(以等截面梁为例)
1. 校核强度;
2.设计截面尺寸;
3.计算许可载荷:
说明:
(1)对于非等直梁,危险点的应力 σmax应由 确定;
(2)对于抗拉压性能相同的材料,只要绝对值最大的正应力不超过许用应力即可;对于抗拉压性能不同的材料,则拉和压的最大正应力都不应超过各自的许用应力。
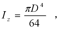
四、抗弯截面系数Wz的计算讨论
1、矩形截面



危险点:矩形顶边和底边上的所有点。
(2)实心圆形截面



危险点:圆周外缘上下两个点A和B
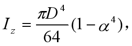
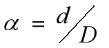
(3)空心圆形截面



![]()
危险点:大圆周外缘上下两个点A和B

