纯弯曲时的正应力
上一节
下一节
教学视频
本节主要内容
5.2 纯弯曲时的正应力
一.变形几何规律
(1)实验前:
绘纵向线、横向线;在纵向对称面内加一对外力偶
(2)实验后:
纵向线由直线变成曲线,上缩下伸;横向线 仍保持为直线, 但有转动;横向线与纵向线变形后仍正交。

2.两个概念
(1)中性层:梁内一层纤维既不伸长也不缩短,因而纤维不受拉应力和压应力,此层纤维称中性层。
(2)中性轴:中性层与横截面的交线。

3.两个推论
(1)平面假设:横截面变形后仍为平面,只是绕中性轴发生转动;距中性轴等高处,变形相等。
(2)横截面上只有正应力。
二. 纯弯曲时梁横截面上的正应力
(一) 几何方程


纵向纤维的应变与它到中性层的距离成正比。
(二) 物理关系
假设:纵向纤维互不挤压。于是,任意一点均处于单向应力状态。

纵向纤维的正应力与它到中性层的距离成正比。
在横截面上,任意点的正应力与该点到中性轴的距离成正比。即沿截面高度,正应力按线性规律变化。
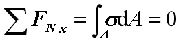
(三)静力学关系
![]()
![]()
EIz ——抗弯刚度
由(2)(3)两式可得
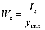
(四)最大正应力

Wz称为抗弯截面系数。

