扭转强度条件和刚度条件
上一节
下一节
教学视频
本节主要内容
3.5 扭转强度条件和刚度条件
一、扭转强度条件
![]()
等截面圆轴:

强度计算的三个方面:① 校核强度;② 设计截面尺寸;③ 计算许可载荷
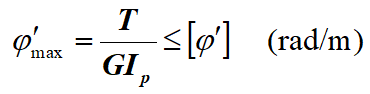
二、扭转刚度条件


刚度计算的三方面:① 校核刚度;② 设计截面尺寸;③ 计算许可载荷。
目录
3.5 扭转强度条件和刚度条件
一、扭转强度条件
![]()
等截面圆轴:

强度计算的三个方面:① 校核强度;② 设计截面尺寸;③ 计算许可载荷
二、扭转刚度条件


刚度计算的三方面:① 校核刚度;② 设计截面尺寸;③ 计算许可载荷。